Підготовка до ЗНО. Повторення. Функції. Властивості функцій. Елементарні функції та їх графіки

13 запитань
Запитання 1

(ЗНО - 2019) На рисунку зображено графік функції y = f (x), визначеної на проміжку [-3; 3]. Одна з наведених точок належить графіку функції y = - f (x). Укажіть цю точку.

варіанти відповідей

К

L

O

M

N

Запитання 2

Знайдіть нулі функції:

варіанти відповідей

3 і -3

3

 -3 і 9

-3

9

Запитання 3

Вкажіть графік квадратичної функції , для якої виконується умова: а<0, D>0

варіанти відповідей
Запитання 4

Вкажіть графік квадратичної функції, для якої виконується умова: а > 0, D < 0

варіанти відповідей
Запитання 5

Значення функції у= 3х² - 34, якщо х= 5, дорівнює:

варіанти відповідей

51

31

41

інша відповідь

Запитання 6

Укажіть функцію, графіком якої є пряма.

варіанти відповідей

 у=х²

у= 2х

у= 2/х +6

у= х² - 2х

 у= 2/х

Запитання 7

Не виконуючи побудови, знайдіть координати точки перетину графіка функції

у = 6 - 4х з віссю ОY:

варіанти відповідей

(0:-6)

(0; 6);

(- 6; 0);

(-4; 0).

Запитання 8

Укажіть множину значень функції, заданої графіком:

варіанти відповідей

[-1.5;4]

 [-4;4]

(-1.5;4]

 [-4;4)

Запитання 9

Яка з наведених функцій парна?

варіанти відповідей

у=х3;

у=х2;

у=х-5;

у=2/х.

Запитання 10

Як потрібно паралельно перенести графік функції у = х2, щоб отримати графік функції у = х2- 5?


варіанти відповідей

на 5 одиниць вліво

на 5 одиниць вправо

на 5 одиниць вгору

на 5 одиниць вниз

Запитання 11

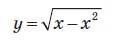
Знайти область визначення функції:

варіанти відповідей

(−∞;0) ∪ (1;+∞)

 [0;1)

(-∞;0]∪[1;+∞)

[0;1]

Запитання 12

Укажіть проміжок, на якому функція, задана графіком, зростає:


варіанти відповідей

[-4;2]

[-2;1]

[-4;-2]

[1;2]

Запитання 13

Як потрібно паралельно перенести графік функції у=х2 щоб отримати графік функції у=(х+4)2

варіанти відповідей

на 4 одиниць вверх по осі у

на 4 одиниць вниз по осі у

на 4 одиниць вправо по осі х

на 4 одиниць вліво по осі х

Створюйте онлайн-тести
для контролю знань і залучення учнів
до активної роботи у класі та вдома

Створити тест