Підсумкова контрольна робота алгебра 8 клас

Додано: 7 травня 2025
Предмет: Алгебра, 8 клас
7 запитань
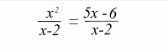
Запитання 1

Спростити вираз

варіанти відповідей
Запитання 2

Спростити вираз: 1,2x⁻⁴y⁶⋅5xy⁻³

варіанти відповідей

6x²y³

5,2x²y³

6x⁻⁷y¹²

6x⁻²y⁻³

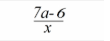
Запитання 3

Знайти значення виразу

варіанти відповідей

3,8 

6,5

38

3,7

Запитання 4

Розв'яжіть рівняння


- 5х - 18 = 0

варіанти відповідей

-2; 4,5 

2; 4,5

2; -4,5

-4,5; -2

Запитання 5

Розв'язати рівняння

варіанти відповідей

2; 3 

-2; -3

2

 3

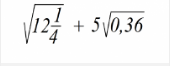
Запитання 6

Спростіть вираз

варіанти відповідей
Запитання 7

Порівняти 3√5 і 7

варіанти відповідей

Неможливо порівняти

3√5 = 7

3√5 < 7

3√5 > 7

Створюйте онлайн-тести
для контролю знань і залучення учнів
до активної роботи у класі та вдома

Створити тест