Підсумкова контрольна робота за І семестр для 6 класу (сімейне навчання).

Додано: 5 грудня 2025
Предмет: Математика, 6 клас
12 запитань
Запитання 1

Скоротити дріб 16/24

варіанти відповідей

2/3

5/6

3/4

1/24

Запитання 2

Виконай ділення

варіанти відповідей

32/245

2 1/2

2/5

2/7

Запитання 3

Відстань від села до міста - 24 км. Протягом першої години велосипедист подолав 5/6 від цієї відстані. Скільки кідометрів подолав велосипедист протягом першої години?

варіанти відповідей

12

18

20

16

Запитання 4

Запиши 5% у вигляді звичайного дробу.

варіанти відповідей

1/2

1/20

1/50

1/5

Запитання 5

Знайди значення виразу

варіанти відповідей

1 3/4

2 2/3

4,5

2,75

Запитання 6

З двох міст одночасно назустріч один одному вирушили два автомобілі. Швидкість одного з них - 63 км/год, а другого - в 1 1/8 раза менша. Якою буде відстань між автомобілями через 1 1/10 год після початку руху, якщо відстань між містами 198 км?

варіанти відповідей

119

130,9

67,1

58,3

Запитання 7

Електрочайник коштував 250 грн. Якою стала його ціна після двох послідовних знижень: спочатку - на 10 %, потім - на 15 %.

варіанти відповідей

225

212, 5

187, 5

150

Запитання 8

Виконати додавання

варіанти відповідей
Запитання 9

Виконайте віднімання

варіанти відповідей
Запитання 10

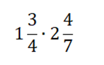
Знайти добуток

варіанти відповідей
Запитання 11

За першу годину автомобіль проїхав 70 км, що становило 14% усього шляху. Скільки кілометрів становить увесь шлях?

варіанти відповідей

700 км

550 км

500 км

600 км

Запитання 12

Розв'яжіть рівняння

варіанти відповідей

Створюйте онлайн-тести
для контролю знань і залучення учнів
до активної роботи у класі та вдома

Створити тест