Підсумкова робота

Додано: 26 травня 2025
Предмет: Алгебра, 8 клас
Копія з тесту: Підсумкова робота
12 запитань
Запитання 1

Обрати відповідь:

варіанти відповідей

А

Б

В

Г

Запитання 2

Обрати відповідь:

варіанти відповідей

a = 0, b = -6, c = 5

a = -6, b = 1, c = 5

a = 1, b = 6, c = 5

a = 1, b = - 6, c = 5

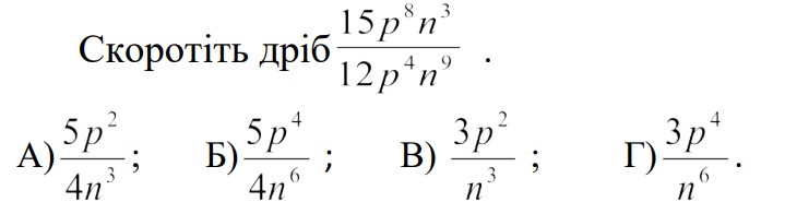
Запитання 3

Обрати відповідь:

варіанти відповідей

А

Б

В

Г

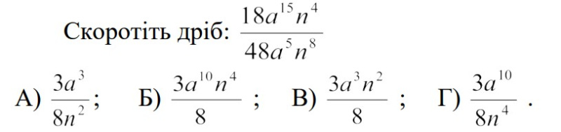
Запитання 4

Обрати відповідь:

варіанти відповідей

А

Б

В

Г

Запитання 5

Обрати відповідь:

варіанти відповідей

5

-5

37

-37

Запитання 6

Обрати відповідь:

варіанти відповідей

a = -8, b = 3, c =0

a = 0, b = 8, c = - 3

a = 3, b = 8, c = -3

a = 3, b = -8, c = -3

Запитання 7

Обрати відповідь:

варіанти відповідей

0

- 1

14

1

Запитання 8

Обрати відповідь:

варіанти відповідей

А

Б

В

Г

Запитання 9

Обрати відповідь:

варіанти відповідей

А

Б

В

Г

Запитання 10

Обрати відповідь:

варіанти відповідей

- 8 p6/ m9

2 p6/ m9

8 p6/ m9

2 p8/ m6

Запитання 11

Знайти корені рівняння

варіанти відповідей

0 та -7

0 та 7

7 та -1

7 та 1

Запитання 12

Визначити корені рівняння:

варіанти відповідей

Створюйте онлайн-тести
для контролю знань і залучення учнів
до активної роботи у класі та вдома

Створити тест