Підсумкова робота з алгебри 8 клас

Додано: 10 вересня
Предмет: Алгебра, 8 клас
23 запитання
Запитання 1

Скільки коренів має рівняння:   х2 - 9 = 0


варіанти відповідей

Жодного

1

2

Безліч

Запитання 2

Через яку точку проходить графік функції у = √х

варіанти відповідей

(2; 4)

(1; 2)

(4; 2)

(1; - 1)

Запитання 3

Розв'яжіть рівняння √х - 4 = 0

варіанти відповідей

2

4 і -4

4

16

Запитання 4

Один з коренів рівняння х²-10х + 21=0 дорівнює 3. Знайдіть другий корінь

варіанти відповідей

10

-7

7

-6

6

Запитання 5

Чому дорівнює сума коренів рівняння

х²-5х +2 =0

варіанти відповідей

2

5

-2

-5

1

-1

Запитання 6

Серед поданих многочленів укажіть квадратний тричлен (виберіть всі

можливі варіанти)

варіанти відповідей

3x2 +2x-7  

 2х-3x2+2  

5x3 +2x2 -3

x3 -2х-16

 -2x+5x2 -7

 2+3x+2х4

Запитання 7

Які з квадратних рівнянь є неповними?

варіанти відповідей

2+2х-44=0

 2х-4х2=0

16х2=0

 5х3+9х=0

2- 23=0

 5х+3х2-12=0

Запитання 8

Знайдіть значення виразу: √360 * √490

варіанти відповідей

42

420

4200

42√10

Запитання 9

Знайти значення виразу: √152 +√(-13)2 +(√3)2

варіанти відповідей

5

37

31

32

Запитання 10

При якому значенні змінної вираз не має змісту?

варіанти відповідей

0

1

3

2

-3

-2

Запитання 11

Знайдіть область допустимих значень виразу

варіанти відповідей

усі числа, крім - 1

усі числа, крім 4

 усі числа, крім -4

 усі числа, крім 0

 усі числа, крім 1

усі числа, крім - 2

Запитання 12

Обчислити 32-5 : 64-4

варіанти відповідей

1/2

1

0

-1/2

-1

2/3

Запитання 13

Порівняти 4√5 і 6√3

варіанти відповідей

4√5 > 6√ 3

 4√5 < 6√ 3

 4√5 = 6√ 3

Запитання 14

Розв'язати рівняння:

варіанти відповідей

400

-400

немає розв'язків

40

-40

безліч розв'язків

Запитання 15

Який з графіків відповідає функції у=√x ?

варіанти відповідей
Запитання 16

Спростити вираз

варіанти відповідей
Запитання 17

Через яку з точок проходить графік функції y = 9/x?

варіанти відповідей

L(3; 3)

K(-1; 9)

М(-2; 4,5)

N(9; 1)

Запитання 18

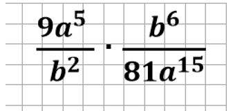
Виконайте ділення

варіанти відповідей
Запитання 19

Подайте у вигляді дробу вираз:

варіанти відповідей
Запитання 20

Піднесіть до степеня дріб

варіанти відповідей
Запитання 21

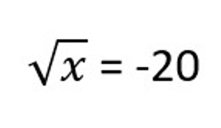
Вкажіть корені рівняння:

варіанти відповідей

3; 2

3

2

коренів немає

Запитання 22

Укажіть графік функції

 у = k/x

варіанти відповідей
Запитання 23

виберіть вірно записані властивості

варіанти відповідей

50=0

5а·5в=5а+в

5а : 5в=5а+в

5а : 5в=5а-в

5а · 5в=5ав

(5а)в= 5а+в

(5а)в= 5ав

(5)-1=⅕

Створюйте онлайн-тести
для контролю знань і залучення учнів
до активної роботи у класі та вдома

Створити тест