Площа трикутника

Додано: 10 квітня 2025
Предмет: Геометрія, 8 клас
Копія з тесту: Площа трикутника
10 запитань
Запитання 1

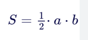
Формула площі...................... трикутника

варіанти відповідей

довільного

рівностороннього

прямокутного

Запитання 2

Знати площу трикутника

варіанти відповідей

21см2

42см2

9см2

12см2

Запитання 3

Знати площу трикутника

варіанти відповідей

260см2

520см2

26см2

52см2

Запитання 4

Знайти площу трикутника,якщо а=6см.

варіанти відповідей

9√3см2

9см2

36см2

6√3см2

Запитання 5

Сторона трикутника а=12, висота, проведена до цієї сторони hа=8. Обчислити площу трикутника S.

варіанти відповідей

48

96

84

10

Запитання 6

а=8, в=5,S=?

варіанти відповідей

20

40

13

24

Запитання 7

Формула площі ................трикутника

варіанти відповідей

довільного

рівностороннього

рівнобедреного

прямокутного

Запитання 8

Формула площі ................. трикутника

варіанти відповідей

довільного

прямокутного

рівностороннього

рівнобедреного

Запитання 9

Площа трикутника =30см2, сторона=12см. Знайти висоту, проведену до цієї сторони.

варіанти відповідей

5см

10см

6см

8см

Запитання 10

а= 6м, с=10м, S=?

варіанти відповідей

24м2

48м2

30м2

60м2

Створюйте онлайн-тести
для контролю знань і залучення учнів
до активної роботи у класі та вдома

Створити тест