Показникові нерівності

Додано: 9 жовтня 2025
Предмет: Алгебра, 11 клас
9 запитань
Запитання 1

Розв'язати нерівність  7х+3 ≤ 1/49

варіанти відповідей

 x∊(−∞;5)

x∊(−∞;−5]

  x∊(5;+∞)

 x∊[−5;+∞)

Запитання 2

Знайдіть найменший цілий розв'язок нерівності 44х+9≥16

варіанти відповідей

1

2

-2

-1

3

Запитання 3

Розв'яжіть нерівність:

варіанти відповідей

 [3; +∞)

 (-∞; 3]

 (3; +∞)

 (-∞; 3)

Запитання 4

Знайти найбільший цілий розв'язок нерівності

варіанти відповідей

5

-1

-4

1

4

2

-2

Запитання 5

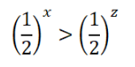
Порівняйте числа x і z, якщо

варіанти відповідей

 x > z


x < z

 x = z

порівняти неможливо

Запитання 6

Розв'яжіть нерівність (0,3)4-2х < 1

варіанти відповідей


 (2; +∞)

 [2; +∞)

 (−∞; 2)

(−∞; 2]

Запитання 7

Розв'яжіть нерівність: 3х ⋅ 4х≥1 /144

варіанти відповідей

( - ∞; -2]

 ( - ∞;2]

[2; ∞)

 [-2; ∞)

Запитання 8

На якому рисунку зображений ескіз графіка функції y=3х

варіанти відповідей
Запитання 9

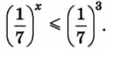
Розв'язати нерівність

варіанти відповідей

(2; 3)

(3; + ∞)

(− ∞; 2) U (3; + ∞)

 (− ∞; 2)

Створюйте онлайн-тести
для контролю знань і залучення учнів
до активної роботи у класі та вдома

Створити тест