Повторення. Підготовка до НМТ. Степені та корені.

Додано: 17 березня 2025
Предмет: Алгебра, 11 клас
10 запитань
Запитання 1

Обчислити

варіанти відповідей

101,5

102

108

109

1010

Запитання 2

Знайти значення виразу:

варіанти відповідей

81

1/81

27

1/27

9

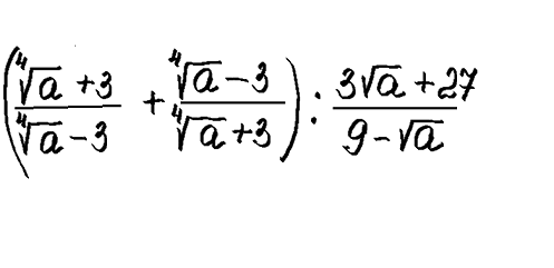
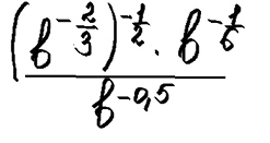
Запитання 3

Спростити вираз :

варіанти відповідей
Запитання 4

Обчислити: 251,5+(0,25)-0,5 - 810,75

варіанти відповідей

2,5

132,5

150

-25

100

Запитання 5

Записати значення виразу у стандартному вигляді:

(1,7⋅108) ⋅ (6⋅ 10-3)

варіанти відповідей

1,02⋅ 105

10,2 ⋅ 106

1,02 ⋅ 107

1,02 ⋅ 106

10,2 ⋅ 1011

Запитання 6

Спростити вираз : √9a - √16a + √64a

варіанти відповідей

15√a

15a

7√a

7a

a

Запитання 7

Спростити вираз : (2 +√5)(2-√5) + (√5 +1)2 - √20

варіанти відповідей

15

5

10-√5

10 +5√5

10 +√5

Запитання 8

Спростити : √(-2-√5)2 + √(2-√5)2

варіанти відповідей

0

4

-4

4+2√5

2√5

Запитання 9

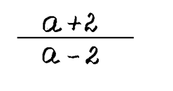
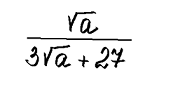
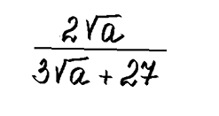
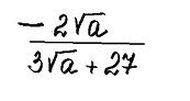
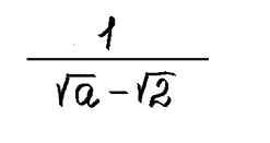
Скоротити дріб:

варіанти відповідей

1

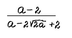
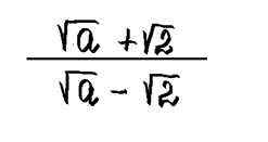
Запитання 10

Спростити вираз :

варіанти відповідей

Створюйте онлайн-тести
для контролю знань і залучення учнів
до активної роботи у класі та вдома

Створити тест