«Прості механізми. Похила площина. Важіль. Момент сили. Умова рівноваги важеля»

11 запитань
Запитання 1

Закінчіть речення: «Простими механізмами називають...»

варіанти відповідей

пристрої, які спрощують рух;

пристрої, які змінюють напрямок або величину прикладеної сили;

пристрої, які завжди зменшують силу;

пристрої, які збільшують силу.

Запитання 2

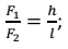
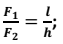
Яка формула визначає умову рівноваги важеля?

варіанти відповідей
Запитання 3

Закінчіть речення: «Похила площина дозволяє...»

варіанти відповідей

збільшити силу для підняття вантажу;

зменшити силу, необхідну для підняття вантажу;

не впливає на силу, необхідну для підняття;

робить рух швидшим.

Запитання 4

Одиниці вимірювання моменту сил?

варіанти відповідей
Запитання 5

Закінчіть речення: «Чим більша відстань від точки прикладення сили до осі обертання

важеля, тим...»

варіанти відповідей

більшу силу треба прикласти, щоб утримати важіль в рівновазі;

меншу силу треба прикласти, щоб утримати важіль в рівновазі;

момент сили не залежить від цієї відстані;

момент сили залежить від інших факторів.

Запитання 6

Важіль знаходиться в рівновазі, коли...

варіанти відповідей

сили рівні на обох кінцях важеля;

моменти сил, які обертають важіль за стрілкою годинника дорівнюють моментам сил, які обертають важіль проти стрілки годинника;

довжини плечей рівні;

моменти і сили рівні.

Запитання 7

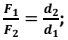
За якою формулою розраховується виграш у силі для похилої площини?

варіанти відповідей
Запитання 8

Закінчіть речення: «Моментом сили називається...»

варіанти відповідей

час, протягом якого на тіло діє сила;

відношення сили до її плеча;

відстань від осі обертання до лінії дії сили;

добуток сили на її плече.

Запитання 9

У яких одиницях вимірюють виграш у силі?

варіанти відповідей

в ньютонах;

в метрах;

це безрозмірна величина;

в ньютонах, що ділиться на метр.

Запитання 10

Закінчіть речення: «Якщо сила прикладена ближче до осі обертання важеля, то...»

варіанти відповідей

треба прикласти більшу силу, щоб важіль перебував в рівновазі;

момент сили зменшується;

момент сили зростає;

важіль знаходиться в рівновазі.

Запитання 11

Визначте момент сили, якщо до важеля прикладена сила 14 Н на відстані 0,4 м від осі обертання.

варіанти відповідей

3,5 Н ∙ м.

5,6 Н ∙ м.

0,56 Н ∙ м.

0,35 Н ∙ м.

Створюйте онлайн-тести
для контролю знань і залучення учнів
до активної роботи у класі та вдома

Створити тест