Раціональні числа. Додатні і від'ємні числа. Координатна пряма. Модуль

Додано: 10 січня
Предмет: Математика, 6 клас
12 запитань
Запитання 1

Знайти число, протилежне числу 7

варіанти відповідей

-1/7

-7

1/7

1

Запитання 2

З- поміж чисел -4; -9; 5 ;0 вкажіть найбільше

варіанти відповідей

-4

-9

5

0

Запитання 3

Модуль числа -8 дорівнює

варіанти відповідей

8

-8

1/8

-1/8

Запитання 4

Між якими сусідніми числами знаходтиться число -3,5?

варіанти відповідей

-5 і -4

-4 і -3

-3 і -2

-2 і -1

Запитання 5

Знайти координату точки М

варіанти відповідей

-4

-3,5

4

-4,5

Запитання 6

Обчислити ∣-3,5∣+∣5,6∣

варіанти відповідей

9,1

-9,1

2,1

-2,1

Запитання 7

Вказати покази термометрів на малюнку: 

варіанти відповідей

-50; 20; 00; -40;30

-50; -20; 00; +40;-30

50; +20; 00; -40;-30

50; -20; 00; -40;30

Запитання 8

Знайти правильний запис повідомлення служби погоди

варіанти відповідей

1) -15 0 2) -20 3) 90 4)- 70

1) -150 2) 200 3) +9 0 4) 70

1) 150 2) -200 3) -90 4) 70

1) 150 2) -200 3) -90 4)- 70

Запитання 9

Записати від'ємні числа із зображення

варіанти відповідей

2061; 1545; 515

470 ; 1025; 2210

515; 470; 1025

2210; 2061; 1545

Запитання 10

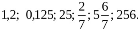
За малюнком вказати недодатні числа

варіанти відповідей
Запитання 11

Роздивіться план вулиці. Одній поділці відповідає 100 м. Що розміщено від світлофора ліворуч на відстані 300 м

варіанти відповідей

Будинок №5

Школа

Магазин

Аптека

Запитання 12

Біля табору туристів дорога проходить із заходу на схід. Туристи вийшли з табору і рухаються дорогою зі швидкістю 5км/год. Де перебуватимуть туристи через 2 години руху на захід ? 

варіанти відповідей

5 км/год на схід

10 км/год на захід

-10 км/ год

- 5 км / год

Створюйте онлайн-тести
для контролю знань і залучення учнів
до активної роботи у класі та вдома

Створити тест