Контрольна робота "Раціональні дроби. Основна властивість раціонального дробу. Дробові вирази. Додавання і віднімання дробів".

12 запитань
Запитання 1

Скоротіть дріб

варіанти відповідей
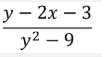
Запитання 2

Скоротіть дріб

варіанти відповідей
Запитання 3

При якому значенні змінної вираз не має значення?

варіанти відповідей

-18 ; 17

-18

17

18; -17

Запитання 4

Знайти допустимі значення змінних раціонального виразу

варіанти відповідей

всі числа, крім −5   

 всі числа, крім 5

всі числа, крім 0

всі числа

Запитання 5

При яких значеннях змінної має зміст вираз?

варіанти відповідей

при всіх, крім 4 

при всіх, крім 4 і −4

 при всіх, крім 2 і −2

при всіх, крім 2

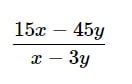
Запитання 6

скоротити дріб:


варіанти відповідей

15

45

Запитання 7

Спростіть вираз 

варіанти відповідей

1

½

0

х+5х+5

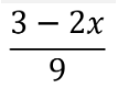
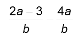
Запитання 8

Різниця дробів дорівнює:

варіанти відповідей
Запитання 9

Додати дроби

варіанти відповідей
Запитання 10

Відняти дроби

варіанти відповідей

0

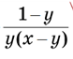
Запитання 11

Виконати дії:

варіанти відповідей

у+3

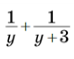
Запитання 12

Виконай додавання

варіанти відповідей

Створюйте онлайн-тести
для контролю знань і залучення учнів
до активної роботи у класі та вдома

Створити тест