Додавання і віднімання дробів

10 запитань
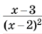
Запитання 1

Скоротіть дріб

варіанти відповідей
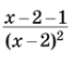
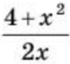
Запитання 2

Скоротіть дріб

варіанти відповідей
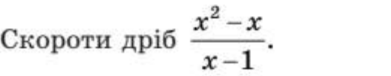
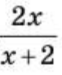
Запитання 3

Спростіть вираз 

варіанти відповідей

1

½

0

х+5х+5

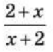
Запитання 4

Різниця дробів дорівнює:

варіанти відповідей
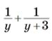
Запитання 5

Додати дроби

варіанти відповідей
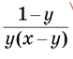
Запитання 6

Відняти дроби

варіанти відповідей

0

Запитання 7

5.

варіанти відповідей
Запитання 8

2.

варіанти відповідей

х

х-1

1

х+1

Запитання 9

Виконай додавання

варіанти відповідей
Запитання 10

Виконай віднімання

варіанти відповідей

Створюйте онлайн-тести
для контролю знань і залучення учнів
до активної роботи у класі та вдома

Створити тест