Раціональні рівняння.

Додано: 10 листопада 2025
Предмет: Алгебра, 8 клас
6 запитань
Запитання 1

Серед наведених оберіть ціле раціональні рівняння:

варіанти відповідей
Запитання 2

Оберіть дробово раціональне рівняння:

варіанти відповідей
Запитання 3

Чи є число 4 коренем рівняння?

варіанти відповідей

Так

Ні

Запитання 4

Розв'яжи рівняння:

варіанти відповідей

х=-1

х≠0,5

х=0,5

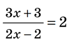
Запитання 5

Розв'яжи рівняння:

варіанти відповідей

х=3

Коренів немає.

х≠-3

Запитання 6

Розв'яжи рівняння:

варіанти відповідей

х=⅓

х=-1;1

х=-⅓

Створюйте онлайн-тести
для контролю знань і залучення учнів
до активної роботи у класі та вдома

Створити тест