Раціональні вирази

Додано: 16 березня
Предмет: Математика, 8 клас
10 запитань
Запитання 1

Раціональний дріб - це

варіанти відповідей

будь-який дріб

дріб, у якого чисельник і знаменник є числом

дріб, у якого чисельник і знаменник є мономом

дріб, у якого чисельник і знаменник є або числом, або мономом, або поліномом

Запитання 2

Будь-який вираз можна записати в вигляді раціонального дробу зі знаменником

варіанти відповідей

0

2

1

не можна записати

Запитання 3

Які з виразів є цілими?

варіанти відповідей

(x+3)/y

5a2-7b

3x-12

8c+4d/(b-5)

Запитання 4

Які з виразів є дробовими?

варіанти відповідей

(a-5)/(b+2)

6x2y+2z

4a+15c

5y+(3z-5)/(6-2x)

Запитання 5

Які з виразів є раціональними дробами?

варіанти відповідей

7/(2x+3)

8ac2-1

15x-3y

3a-4/(6-d)

Запитання 6

Які з виразів є раціональними виразами?

варіанти відповідей

4a/(5b-7)

3xz2-5xy

3a-5b

2x+(4y-9)/5z

Запитання 7

Знайдіть значення виразу 30/(b+2), якщо b=0

варіанти відповідей

10

0

12

15

Запитання 8

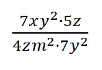
Знайдіть спільний множник у чисельнику та знаменнику раціонального дробу

варіанти відповідей

7

7/4

7y2

7y2z

Запитання 9

Скоротіть раціональний дріб

варіанти відповідей

2/3

4/6

2b/3

2/3b

Запитання 10

Назвіть спільний знаменник дробів

варіанти відповідей

t

1-t

1-t2

t(1-t)

Створюйте онлайн-тести
для контролю знань і залучення учнів
до активної роботи у класі та вдома

Створити тест