Розрахунок опору провідника. Питомий опір речовини. Реостати

Додано: 9 квітня 2025
Предмет: Фізика, 8 клас
20 запитань
Запитання 1

1. Від чого залежить опір провідника?

варіанти відповідей

Від напруги та сили струму в провіднику

Від довжини провідника та сили струму в ньому

Від роду речовини провідника, його довжини та площі поперечного перерізу

Запитання 2

2. Що показує питомий опір речовини, з якого виготовлений провідник, в системі СІ?


варіанти відповідей

Опір провідника довжиною 1 м і площею перерізу 1 м2

Опір провідника довжиною 1 м і площею перерізу 1 мм2

Опір провідника довжиною 1 м і діаметром 1 мм

Запитання 3

3. Вкажіть правильне розташування речовин в порядку зростання їх питомих опорів.


варіанти відповідей

Срібло, графіт, залізо

Залізо, срібло, графіт

Срібло, залізо, графіт

Запитання 4

4. Реостати застосовують для ...


варіанти відповідей

Зміни сили струму в колі

Підключення різних приладів

Зміни напруги на полюсах джерела струму

Запитання 5

5. Яке висловлювання є правильним?

варіанти відповідей

Опір провідника залежить від сили струму в ньому

Опір провідника залежить від напруги на його кінцях

Опір провідника залежить від властивостей самого провідника

Запитання 6

6. Одиницею питомого опору речовини в системі СІ є ...

 

варіанти відповідей
Запитання 7

7. Яким приладом регулюють силу струму в електричному колі?

варіанти відповідей

Амперметром

Реостатом

Вольтметром

Запитання 8

8. Який матеріал ви виберете для виготовлення нагрівального елементу кип'ятильника?

варіанти відповідей

Нікелін

Вольфрам

Константан

Запитання 9

9. Визначте опір алюмінієвого дроту, натягнутого між двома стовпами, якщо площа його поперечного перерізу 10 мм2, а відстань між стовпами 50 м (питомий опір алюмінію 0,028 Ом‧мм2/м). 

варіанти відповідей

14 Ом

0,14 Ом

1,4 Ом

Запитання 10

10. Визначте площу поперечного перерізу мідного дроту завдовжки 12 м, якщо його опір становить 3,4 Ом (питомий опір міді 0,017 Ом‧мм2/м). 

варіанти відповідей

0,06 мм2

0,006 мм2

0,6 мм2

Запитання 11

Як зміниться опір реостата, якщо його повзунок перемістити праворуч

варіанти відповідей

збільшиться

зменшиться

не зміниться

зникне

Запитання 12

На фото зображений

варіанти відповідей

резистор

реостат

електромагніт

вимикач

Запитання 13

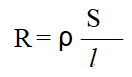
Опір провідника обчислюють за формулою

варіанти відповідей
Запитання 14

Три провідники виготовлені з різного матеріалу: нікеліну, олова, заліза та мають однакову площу поперечного перерізу. Користуючись таблицею 7 на стор. 231, вкажіть правильний порядок провідників на малюнку

варіанти відповідей

1 - нікелін, 2 - олово, 3 - залізо

1 - олово, 2 - нікелін, 3 - залізо

1 - залізо, 2 - олово, 3 - нікелін

1 - нікелін, 2 - залізо, 3 - олово

Запитання 15

Три провідники мають однаковий опір і площу поперечного перерізу. Вони виготовлені з міді, свинцю, заліза. Вкажіть правильний порядок провідників на малюнку

варіанти відповідей

1 - мідь, 2 - свинець, 3 - залізо

1 - свинець, 2 - мідь, 3 - залізо

1 - залізо, 2 - свинець, 3 - мідь

1 - мідь, 2 - залізо, 3 - свинець

Запитання 16

1 провідник виготовлений з міді, 2 - із алюмінію. Провідники мають однакову довжину і площу поперечного перерізу. Користуючись таблицею 7 на стор. 231, вкажіть, який з провідників має більший опір

варіанти відповідей

1

2

опір провідників однаковий

залежить від сили струму і напруги в електричному колі

Запитання 17

Провідники мають однакову довжину, виготовлені з одного матеріалу, але мають різну площу поперечного перерізу. Який з провідників має більший опір

варіанти відповідей

1

2

опір провідників однаковий

залежить від сили струму і напруги в електричному колі

Запитання 18

Провідники довжиною 2 м і 1,5 м виготовлені з одного матеріалу та мають однакову площу поперечного перерізу. Який з провідників має більший опір

варіанти відповідей

1

2

опір провідників однаковий

залежить від сили струму і напруги в електричному колі

Запитання 19

Як зміниться сила струму у колі, якщо повзунок реостата перемістити праворуч

варіанти відповідей

збільшиться

зменшиться

не зміниться

зникне

Запитання 20

Два провідники виготовлені з алюмінію, мають однакову площу поперечного перерізу, але різну довжину. Питомий опір речовини якого провідника більший

варіанти відповідей

1

2

однаковий

залежить від сили струму і напруги в електричному колі

Створюйте онлайн-тести
для контролю знань і залучення учнів
до активної роботи у класі та вдома

Створити тест