Квадратний тричлен. Розв’язання задач за допомогою раціональних рівнянь

Додано: 23 квітня
Предмет: Алгебра, 8 клас
18 запитань
Запитання 1

Розв'язати рівняння: х4 - 24х2 - 25 = 0.

варіанти відповідей

-1; 25.

-5; -1; 1; 5.

-5; 5.

-1; 1.

Запитання 2

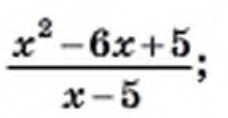
Скоротіть дріб:

варіанти відповідей

х+5

х-5

х+1

х-1

Запитання 3

Розкласти квадратний тричлен х2 -14х + 49 на лінійні множники. 

варіанти відповідей

(х - 7)(х + 7)

 (х - 7)(х + 1)

(х - 1)(х + 7)

 (х - 7)2

Запитання 4

Формула розкладу квадратного тричлена на лінійні множники має такий вигляд:

варіанти відповідей

  ax2 + bx + c = a(x - x1)(x - x2)

ax2 + bx + c = -a(x - x1):(x - x2)

ax2 + bx + c = -a(x - x1)(x - x2)

 ax2 + bx + c = b(x - x1)(x - x2)

Запитання 5

Назвати коефіцієнти квадратного тричлена 2х2- 3х +7

варіанти відповідей

а = -2, b =-3, с = -7

а = 2, b =-3, с = 7

 а = -2, b =-3, с = 7

а = 2, b = -3, с = -7

Запитання 6

Який із наведених виразів є квадратним тричленом?

варіанти відповідей

 2х3 + 3х2 +7

х2: 3х -6

2х + 5х -9

 9х2+6х+1

Запитання 7

Розкласти на множники квадратний тричлен 2х2-5х-3

варіанти відповідей

2(х+0,5)(х-3)

(2х-1)(х-3)

2(х-1)(х+5)

 (2х-1)(х+3)

Запитання 8

Скоротити дріб

варіанти відповідей
Запитання 9

Розв'язати рівняння (4х+1)(2х-3)=0

У відподь записати суму коренів рівняння.

варіанти відповідей

1

3/4

5/4

4/3

Запитання 10

Запишіть коєфіцієнти квадратного рівняння -9x2-10=0

варіанти відповідей

a=-9 b=-10 c=0

a=-9 b=10 c=0

a=-10 b=-9 c=0

a=-9 b=0 c=-10

Запитання 11

Розв'яжіть рівняння: х4 + 7х2 - 18 = 0

варіанти відповідей

-3; 3

- √2; √2

-3;- √2; √2; 3

Запитання 12

Оберіть біквадратне рівняння

варіанти відповідей

8x4 - 6x2 + 5 = 0

8x4 - 6x + 5 = 0

8x2 - 6x + 5 = 0

8x3 - 6x2 + 5 = 0

Запитання 13

Відмітьте, які з чисел є коренями квадратного тричлена

х2 – 7х + 10


варіанти відповідей

 –1


2

1

 –5

–2

 5

Запитання 14

Розв'язати рівняння:

х4+6х2+9=0

варіанти відповідей

Коренів не має

-3

-3 і 3

3

Запитання 15

Розв'язати рівняння:

х4-17х2+16=0

варіанти відповідей

-1; 1.

-4; 4.

-4; -1; 1; 4.

-1; -4: 4.

Запитання 16

Квадратне рівняння називають зведеним, якщо його старший коефіцієнт дорівнює...

варіанти відповідей

0

2

1

3

Запитання 17

Корені біквадратного рівняння : х4-2х2-8=0 дорівнюють

варіанти відповідей

4,-4

2,-2

3,-3

1,-1

Запитання 18

Розв'яжіть рівняння, розклавши його ліву частину на множники: х32-6х=0

варіанти відповідей

1;2

1;0;-3

0;2;-3

-2;3

Створюйте онлайн-тести
для контролю знань і залучення учнів
до активної роботи у класі та вдома

Створити тест