Квадратний тричлен. Розв’язування рівнянь, які зводяться до квадратних.

Додано: 21 квітня 2025
Предмет: Алгебра, 8 клас
15 запитань
Запитання 1

Якщо в рівнянні у4 - 10у2 + 9 = 0, зробити заміну у2 = t, то дістанемо рівняння:

варіанти відповідей

t4 - 10t2 + 9 = 0

t2 - 10t2 + 9 = 0

t2 - 10t + 9 = 0

t2 - 10t - 9 = 0

Запитання 2

Розв'яжіть рівняння: х4 + 7х2 - 18 = 0

варіанти відповідей

 -3; 3

-3;- √2; √2; 3 

 - √2; √2

визначити не можливо

Запитання 3

Знайдіть корені рівняння:

( х2 - 4х )2 - 2 ( х2 - 4х ) - 15 = 0

варіанти відповідей

 -1; 1; 3; 5

1; 3

-1; 5

1; 3; 5

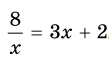
Запитання 4

Розв'яжіть рівняння:

варіанти відповідей

 -2

 -2; 3

-3; 2


3

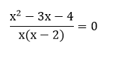
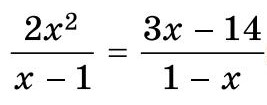
Запитання 5

Розв'яжіть рівняння:

варіанти відповідей

х = 4, х = -1, х ≠ 2, х ≠ 0

х = -4, х = -1, х ≠ 2, х ≠ 0

 х = 4, х = -1

 х = -4, х = 1, х ≠ -2, х ≠ 0

Запитання 6

Оберіть біквадратне рівняння:

варіанти відповідей

4+2х2+7=0

2 - 2х+7=0

5х4 - 2х3+7=0

2х - 4 = 38

Запитання 7

Знайдіть суму і добуток коренів квадратного рівняння:

варіанти відповідей

-3,5; 2

2,5; 2

-1,5; -7

-1,5; 7

Запитання 8

Розв'яжіть рівняння:

х3 + 9х =0

варіанти відповідей

-3; 0; 3

0

3; 0

-3; 3

Запитання 9

Скільки коренів має рівняння х4 -5х2 +4= 0.

варіанти відповідей

1

2

3

4

Запитання 10

Скільки коренів має рівняння

варіанти відповідей

жодного

один

два

три

чотири

Запитання 11

Розкласти квадратний тричлен х2 -14х + 49 на лінійні множники. 

варіанти відповідей

(х - 7)(х + 7)

 

 (х - 7)(х + 1)

 

(х - 1)(х + 7)

 

 (х - 7)2

Запитання 12

Квадратний тричлен можна розкласти на лінійні множники, якщо дискримінант відповідного квадратного рівняння дорівнює…



варіанти відповідей

-9

25

-16

-64

Запитання 13

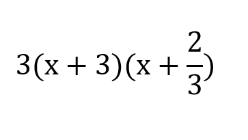
Розкладіть на множники квадратний тричлен 3х2 - 11х + 6.

варіанти відповідей
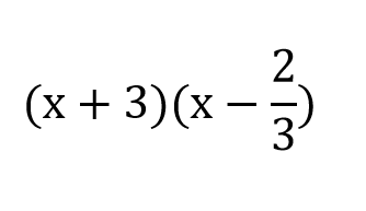
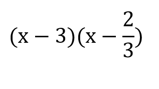
Запитання 14

Відмітьте, які з чисел є коренями квадратного тричлена

0,2х2 + 3х + 10.

варіанти відповідей

5

10

3

-3

-5

-10

Запитання 15

Виберіть правильно записаний розклад на лінійні множники деякого квадратного тричлена, якщо 

а = 1, х1 = –3, х2 = 5.



варіанти відповідей

 (х + 3)(х + 5)

 

  (х – 3)(х + 5)

 

  (х + 3)(х – 5)

 

  (х – 3)(х – 5)

Створюйте онлайн-тести
для контролю знань і залучення учнів
до активної роботи у класі та вдома

Створити тест