Розв'язування систем рівнянь. Повторення

Додано: 23 лютого
Предмет: Алгебра, 11 клас
10 запитань
Запитання 1

Яка пара чисел є розв'язком системи рівнянь

варіанти відповідей

(1;2)

(2;1)

(4;-1)

(0;-1)

Запитання 2

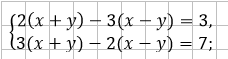
Розв'яжіть систему рівнянь. Якщо (х00) - розв'язок системи, то у відповіді запишіть суму х00

варіанти відповідей

9

11

2

-7

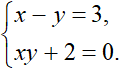
Запитання 3

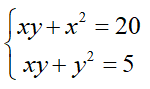
Розв'яжіть систему рівнянь. Для одержаного розв'язку (х00) обчисліть суму х00

варіанти відповідей

-2

-3

1

-4

Запитання 4

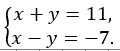
Розв'яжіть систему рівнянь. Для одержаного розв'язку (х00) обчисліть добуток х0 ⋅ у0

варіанти відповідей

-36

-14

-6

4

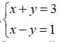
Запитання 5

Скільки розв'язків має система рівнянь

варіанти відповідей


чотири

два

безліч

жодного

Запитання 6

Розв'яжіть систему рівнянь. Для одержаного розв'язку (х00) обчисліть суму х0 + у0

варіанти відповідей

-2,5

-3,5

3,5

6,5

Запитання 7

Скільки розв'язків має система рівнянь

варіанти відповідей

жодного

один

два

три і більше

Запитання 8

Розв'яжіть систему рівнянь. Для одержаного розв'язку (х00) у відповіді запишіть х0

варіанти відповідей

-2

1

2

0

Запитання 9

Розв'яжіть систему рівнянь. Якщо пара (х00) є єдиним розв'язком системи рівнянь, то у відповідь запишіть суму х0 + у0; якщо пари чисел (х11) і (х22) є розв'язками цієї системи, то у відповідь напишіть найбільшу із сум х11 та х22

варіанти відповідей

-1

3

1

-3

Запитання 10

Розв'яжіть систему рівнянь. Якщо пара (х00) є єдиним розв'язком системи рівнянь, то у відповідь запишіть суму х0 + у0; якщо пари чисел (х11) і (х22) є розв'язками цієї системи, то у відповідь напишіть найбільшу із сум х1 + у1 та х2 + у2

варіанти відповідей

5

-5

8

10

Створюйте онлайн-тести
для контролю знань і залучення учнів
до активної роботи у класі та вдома

Створити тест