Розв’язування вправ і задач на всі дії з раціональними числами. Самостійна робота №18

Додано: 9 квітня
Предмет: Математика, 6 клас
11 запитань
Запитання 1

Виконай ділення -12 : 6. 

варіанти відповідей

6

-6

-2

2

Запитання 2

Знайди корінь рівняння х + 3 = -2.

варіанти відповідей

1

-5

- ⅔

-1

Запитання 3

Перше з двох чисел на 3 менше за друге. Менше із чисел позначили через х. Вирази через х друге число.

варіанти відповідей

х + 3

х - 3

3⋅х

х:3

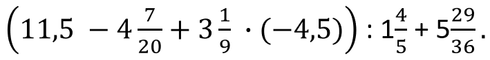
Запитання 4

Обчислити

варіанти відповідей
Запитання 5

Розв’яжи рівняння 

Записати повне розв'язання до зошита

варіанти відповідей

- 2

2

Запитання 6

24 яблука розклали в кошик і ящик так, щоб яблук у ящику було вдвічі більше, ніж у кошику. Скільки яблук поклали в кошик?

варіанти відповідей

12

10

8

6

Запитання 7

Знайди значення виразу

Записати повне розв'язання до зошита

варіанти відповідей

- 36

36

42

- 42

Запитання 8

Розв’яжи рівняння 

Записати повне розв'язання до зошита

варіанти відповідей

- 1

1

- 4

4

Запитання 9

Велосипедистка долає відстань від міста до села за 2,5 год, а пішохід - за 6 год. Знайди швидкість велосипедистки, якщо вона на 7 км/год більша за швидкість пішохода.


Записати повне розв'язання до зошита

варіанти відповідей

12 км/год

5 км/год

14 км/год

18 км/год

Запитання 10

Знайди 20 % від значення виразу


Записати повне розв'язання до зошита

варіанти відповідей

0,2

0,3

0,4

0,6

Запитання 11

Для якого значення а рівняння (а + 5)х = 4 + За має корінь, що дорівнює числу 4?


Записати повне розв'язання до зошита

варіанти відповідей

-12

16

12

-16

Створюйте онлайн-тести
для контролю знань і залучення учнів
до активної роботи у класі та вдома

Створити тест