«Електричний заряд. Закон збереження електричного заряду. Електричне поле. Механізм електризації. Електроскоп. Закон Кулона»

11 запитань
Запитання 1

Вкажіть характер взаємодії однойменних заряджених тіл

варіанти відповідей

не взаємодіють

притягуються

відштовхуються

можуть і притягуватися, і відштовхуватися.

Запитання 2

В електричне поле позитивно зарядженої кулі вносять позитивно заряджену гільзу. В якій точці поля відхилення гільзи буде мінімальним?

варіанти відповідей

А

Б

В

Г

Запитання 3

Вкажіть назву негативно зарядженої частинки.

варіанти відповідей

протон

електрон

нейтрон

фотон

Запитання 4

Вкажіть назву позитивно зарядженої частинки.

варіанти відповідей

протон

електрон

нейтрон

фотон

Запитання 5

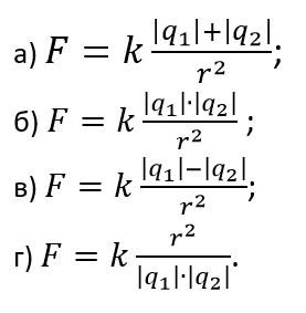
Вкажіть вираз, що є математичним записом закону Кулона: 

варіанти відповідей

А

В

Б

Г

Запитання 6

Прилад для виявлення наявності в тіла електричного заряду

варіанти відповідей

Електрометр

Терези

Електроскоп

Термометр

Запитання 7

Вкажіть характер взаємодії різнойменних заряджених тіл: 

варіанти відповідей

відштовхуються

не взаємодіють

притягуються

можуть і притягуватися, і відштовхуватися

Запитання 8

Під час електризації тертям відбувається:

варіанти відповідей

утворення нових зарядів

зміна маси тіл

зникнення зарядів

перерозподіл електронів

Запитання 9

Кількість електронів, що відповідає заряду 3,2·10⁻¹⁹ Кл:


варіанти відповідей

2

1

3

5

Запитання 10

У міру віддалення від заряду його поле:

варіанти відповідей

посилюється

послаблюється

коливається

не змінюється

Запитання 11

На якій відстані потрібно розташувати два заряди 5*10-9 Кл і 6*10-9Кл, щоб вони відштовхувалися один від одного із силою12*10-4Н?

варіанти відповідей

1,5 мм;

15 мм;

0,015 м;

15 см.

Створюйте онлайн-тести
для контролю знань і залучення учнів
до активної роботи у класі та вдома

Створити тест