Самостійна робота № 4

Додано: 21 жовтня 2025
Предмет: Алгебра, 8 клас
10 запитань
Запитання 1

Оберіть правильний варіант формули піднесення дробу до степеня

варіанти відповідей
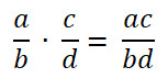
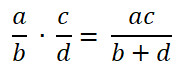
Запитання 2

Оберіть правильний варіант формули множення дробів

варіанти відповідей
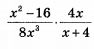
Запитання 3

Виконайте дії

варіанти відповідей
Запитання 4

Виконайте дії

варіанти відповідей
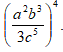
Запитання 5

Піднесіть дріб до степеня

варіанти відповідей
Запитання 6

Піднесіть дріб до степеня

варіанти відповідей
Запитання 7

Cпростити вираз

варіанти відповідей

(х+4)/2х2

(х-4)/2х2

2

1/х

Запитання 8

Виконайте ділення раціональних дробів

варіанти відповідей

2

0,3

1/2

n+3

Запитання 9

Виконати дію:

варіанти відповідей

1,5

p/6

p2/6

2/3

Запитання 10

Піднесіть до степеня дріб:

варіанти відповідей

Створюйте онлайн-тести
для контролю знань і залучення учнів
до активної роботи у класі та вдома

Створити тест