Самостійна робота. Арифметичний квадратний корінь

Додано: 8 лютого
Предмет: Алгебра, 8 клас
12 запитань
Запитання 1

Обчисліть:

варіанти відповідей

12

21

6

18

Запитання 2

Знайдіть значення виразу

варіанти відповідей

16

63

36

72

Запитання 3

Обчислити:

√9̅0̅0̅

варіанти відповідей

30

300

9

90

Запитання 4

Знайдіть значення арифметичного квадратного кореня

варіанти відповідей
Запитання 5

Знайдіть значення виразу

варіанти відповідей

3

12

13

1

Запитання 6

√ ̅1̅,̅6̅9̅ +√ ̅0̅,̅2̅5̅

варіанти відповідей

1,3

1,8

0,18

0,65

Запитання 7

Обчислити:

варіанти відповідей

9

6

7

8

Запитання 8

Обчислити:

варіанти відповідей

3

-3

63

87

Запитання 9

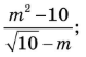
Знайдіть значення виразу, якщо m=54

варіанти відповідей

9

3

81

7

Запитання 10

Розкрийте дужки та спростіть вираз

варіанти відповідей

n-14

n-5√n-14

n+5√n-14

n+14

Запитання 11

Спростіть вираз

варіанти відповідей

-(√10+m)

√10-m

√10+m

1

Запитання 12

Розв'яжіть рівняння

варіанти відповідей

х=8

х=4

х=+-4

х=+-8

Створюйте онлайн-тести
для контролю знань і залучення учнів
до активної роботи у класі та вдома

Створити тест