АЛГЕБРА_11_КР_"Системи рівнянь та методи їх розв’язування.Завдання з параметрами".

10 запитань
Запитання 1

Укажіть пару чисел, що є розв'язком системи рівнянь?

Повний розв'язок завдання записати в паперовий зошиті і надіслати на перевірку в nz.

    

варіанти відповідей

(0; 2)

(-2;3)

(3;-1) 

(-1;3)

(2;0)

інша відповідь

Запитання 2

Скільки розв’язків має система рівнянь?

   Повний розв'язок завдання записати в паперовий зошиті і надіслати на перевірку в nz.

варіанти відповідей

жодного

один

два

три

безліч

інша відповідь

Запитання 3

Підберіть коефіціент а таким чином, щоб система рівнянь не мала розв'язків

Повний розв'язок завдання записати в паперовий зошиті і надіслати на перевірку в nz.

варіанти відповідей

2

-2

8

-8

інша відповідь

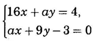
Запитання 4

Знайдіть значення виразу 2(х+у), якщо (х;у) - розв'язок системи рівнянь.

Повний розв'язок завдання записати в паперовий зошиті і надіслати на перевірку в nz.


варіанти відповідей

18

16

14

12

9

інша відповідь

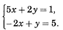
Запитання 5

Розв'яжіть систему лінійних рівнянь способом додавання. Обчисліть значення 2⋅x0+y0, якщо пара чисел (x0, y0) є розв'язком системи рівнянь.

Повний розв'язок завдання записати в паперовий зошиті і надіслати на перевірку в nz.


варіанти відповідей

5

6

7

8

інша відповідь

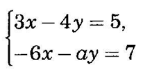
Запитання 6

При яких значеннях параметра а система має безліч розв'язків?

Повний розв'язок завдання записати в паперовий зошиті і надіслати на перевірку в nz.

варіанти відповідей

-1,5

-2

-2,5

-1

1,5

інша відповідь

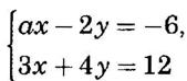
Запитання 7

При яких значеннях параметра а система не має розв'язків? Обчисліть добуток цих значень, якщо їх декілька.

Повний розв'язок завдання записати в паперовий зошиті і надіслати на перевірку в nz.

варіанти відповідей

144

-144

16

-12

інша відповідь

Запитання 8

Знайти всі значення а, за яких один з коренів рівняння 

х+2ах +а2=0 дорівнює - 2.

Повний розв'язок завдання записати в паперовий зошиті і надіслати на перевірку в nz.

варіанти відповідей

-2

±2

2

Інша відповідь

Запитання 9

Розв'яжіть систему рівнянь. Обчисліть добуток x0⋅y0, якщо пара чисел (x0, y0) є розв'язком системи рівнянь.

Повний розв'язок завдання записати в паперовий зошиті і надіслати на перевірку в nz.

варіанти відповідей

-6

6

-36

0

36

інша відповідь

Запитання 10

Розв'яжіть систему рівнянь. Обчисліть добуток x0⋅y0, якщо пара чисел (x0, y0) є розв'язком системи рівнянь.

Повний розв'язок завдання записати в паперовий зошиті і надіслати на перевірку в nz.

варіанти відповідей

12

24

36

48

64

інша відповідь

Створюйте онлайн-тести
для контролю знань і залучення учнів
до активної роботи у класі та вдома

Створити тест