Сила струму. Одиниця сили струму. Амперметр

Додано: 10 березня 2025
Предмет: Фізика, 8 клас
9 запитань
Запитання 1

Силу струму позначають символом

варіанти відповідей

I

U

R

Запитання 2

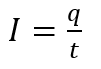
Силу струму визначають за формулою

варіанти відповідей
Запитання 3

Одиниця сили струму

варіанти відповідей

Кулон

Джоуль

Ампер

Кельвін

Запитання 4

Для вимірювання сили струму використовують прилад, який називається:

варіанти відповідей

Динамометр

Спідометр

Амперметр

Вольтметр

Запитання 5

Умовне позначення амперметра на електричних схемах

варіанти відповідей
Запитання 6

Амперметр у коло вмикають.................. з тим споживачем, у якому необхідно виміряти силу струму

варіанти відповідей

послідовно

паралельно

немає різниці

Запитання 7

Клему амперметра, біля якої стоїть знак "+", потрібно з'єднувати з проводом,що йде від. ................ полюса джерела струму

варіанти відповідей

позитивного

можна і від позитивного, і від негативного

негативного

Запитання 8

До електричного кола, де відсутній споживач, амперметр

варіанти відповідей

не можна під'єднувати

можна під'єднувати

Запитання 9

Всім,хто має справу з електрикою, не можна:

варіанти відповідей

користуватися несправним електротехнічним інструментом

торкатися оголених проводів, особливо стоячи на землі, сирій підлозі, тощо

збирати, розбирати, ремонтувати електричні пристрої, не від'єднавши їх від джерела струму

усі відповіді вірні

Створюйте онлайн-тести
для контролю знань і залучення учнів
до активної роботи у класі та вдома

Створити тест