Степенева функція з натуральним та цілим показником

Додано: 17 лютого
Предмет: Алгебра, 10 клас
11 запитань
Запитання 1

Вкажіть ескіз графіка функції у=х10 .

варіанти відповідей
Запитання 2

Вкажіть ескіз графіка функції у=х21 .

варіанти відповідей
Запитання 3

Вкажіть ескіз графіка функції у=х-16 .

варіанти відповідей
Запитання 4

Вкажіть ескіз графіка функції у=х-13 .

варіанти відповідей
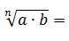
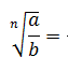
Запитання 5

Оберіть продовження формули

варіанти відповідей
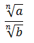
Запитання 6

Оберіть продовження формули

варіанти відповідей
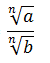
Запитання 7

Обчислити

варіанти відповідей

4

8

12

24

Запитання 8

Знайдіть значення виразу

варіанти відповідей

56

8/7

4/7

- 4/7

Запитання 9

0⁵=

варіанти відповідей

0

1

5

10

Запитання 10

Подайте у вигляді степеня вираз х75

варіанти відповідей

х12

х2

х75

х35

Запитання 11

Подайте у вигляді степеня вираз х7⋅х5

варіанти відповідей

х12

х2

х75

х35

Створюйте онлайн-тести
для контролю знань і залучення учнів
до активної роботи у класі та вдома

Створити тест