Степінь з раціональними показником та їх властивості.

Додано: 12 листопада 2025
Предмет: Алгебра, 10 клас
8 запитань
Запитання 1

Обчисліть

варіанти відповідей

4

16

256

1,6

Запитання 2

Обчисліть

варіанти відповідей

10

0,1

200

0,01

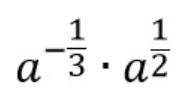
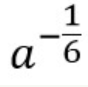
Запитання 3

Запишіть вираз у вигляді степеня з основою a


варіанти відповідей
Запитання 4

Запишіть вираз у вигляді степеня з основою b


варіанти відповідей
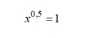
Запитання 5

Розв’яжіть рівняння


варіанти відповідей

1

0

-1

0,5

-0,5

Запитання 6

.

варіанти відповідей

8

-8

6

-6

Запитання 7

х-2=

варіанти відповідей

0

1/х2

1

х2

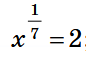
Запитання 8

Розвяжіть рівняння

варіанти відповідей

1

2

128

64

Створюйте онлайн-тести
для контролю знань і залучення учнів
до активної роботи у класі та вдома

Створити тест