Теплові двигуни. Зміна агрегатного стану ГР3

Додано: 11 березня
Предмет: Фізика, 8 клас
18 запитань
Запитання 1

1. (0,5б) Виберіть агрегатний стан, у якому знаходиться речовина, внутрішня енергія якої в основному зумовлена безладним рухом молекул:

варіанти відповідей

а) рідкий

б) газоподібний

в) твердий

г) будь-який.

Запитання 2

(1б) Обчисліть кількість теплоти, яка необхідна для плавлення льоду масою 2000 г, взятого за температури 0 ℃ (температура плавлення льоду). Питома теплота плавлення льоду 332 кДж/кг.

варіанти відповідей

664 000 Дж

600 000 Дж

664 Дж

Я не знаю =)

Запитання 3

(0,5б) Виберіть агрегатний стан, у якому знаходиться речовина, внутрішня енергія якої в основному зумовлена взаємодією молекул: 

варіанти відповідей

твердий

рідкий

газоподібний

будь-який

Запитання 4

(0,5б) Вкажіть, на що витрачається енергія, яку дістає кристалічне тіло, що має температуру плавлення:

варіанти відповідей

руйнування атомів

надання атомам кінетичної енергії

надання атомам потенціальної енергії

руйнування кристалічних ґраток

Запитання 5

(0,5б) Визначте характер зміни кінетичної енергії молекул під час плавлення: 

варіанти відповідей

зменшується

збільшується

не змінюється

спочатку збільшується, потім зменшується

Запитання 6

(0,5б) Яка фізична величина характеризує ступінь нагрітості тіла?

варіанти відповідей

Кількість теплоти

Температура

Внутрішня енергія

Теплопровідність

Запитання 7

(0,5б) Одиниця вимірювання кількості теплоти в СІ:

варіанти відповідей

Дж

Вт

Н

Па

Запитання 8

(0,5б) Який вид теплопередачі відбувається без перенесення речовини?

варіанти відповідей

Конвекція

Випромінювання

Теплопровідність

Плавлення

Запитання 9

(1б) Питома теплоємність показує:

варіанти відповідей

Кількість теплоти для нагрівання 1 кг речовини на 1°C

Кількість теплоти для нагрівання тіла

Температуру плавлення

Швидкість нагрівання

Запитання 10

(0,5б) Під час плавлення температура речовини:

варіанти відповідей

Зростає

Зменшується

Не змінюється

Спочатку зростає, потім зменшується

Запитання 11

(2б) Яка кількість теплоти потрібна для плавлення 0,5 кг олова? (питома теплота плавлення олова 59000 Дж/кг)

варіанти відповідей

29 500 Дж

120 000 Дж

60 000 Дж

15 000 Дж

Запитання 12

(1б) Питому теплоту плавлення визначають за формулою

варіанти відповідей
Запитання 13

(1б) Вода охолонула й перетворилася на лід. Чи змінилися при цьому молекули води, а якщо змінилися, то як? Як змінилося їхнє розташування?

варіанти відповідей

Молекули залишилися такими самими, але розташувалися в певному порядку

Молекули залишилися такими самими, але розташувалися хаотично

Не змінилися ні молекули, ні характер їхнього розташування

Змінились і самі молекули, і характер їхнього розташування

Запитання 14

(0,5б) ККД теплового двигуна обчислюють за формулою:

варіанти відповідей
Запитання 15

(0,5б) Процес переходу речовини з рідкого стану в газоподібний - це ...

варіанти відповідей

кристалізація

випаровування

конденсація

плавлення

Запитання 16

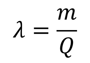
(0,5б) За якою формулою обчислюють кількість теплоти, яка необхідна для плавлення речовини?

варіанти відповідей
Запитання 17

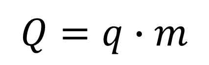
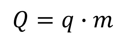
(0,5б) За якою формулою обчислюють кількість теплоти, яка виділиться в ході повного згоряння палива?

варіанти відповідей
Запитання 18

(0,5б) Коефіцієнт корисної дії нагрівника вимірюється в ...

варіанти відповідей

Створюйте онлайн-тести
для контролю знань і залучення учнів
до активної роботи у класі та вдома

Створити тест