Тригонометрія. Підсумковий тест.

Додано: 3 грудня 2025
Предмет: Алгебра, 10 клас
Копія з тесту: Тригонометрія
12 запитань
Запитання 1

У якій координатній чверті знаходиться точка одиничного кола, отримана в результаті повороту точки P0 (1; 0) на кут 451⁰?

варіанти відповідей

І

ІІ

ІІІ

IV

Запитання 2

Знайдіть градусну міру кута

варіанти відповідей

63°

72°

126°

31,5°

Запитання 3

Спростіть вираз sin 2x - (cos x +sin x)2.

варіанти відповідей

1

-1

sin 2x - 1

sin 2x - cos 2х

cos 2x

Запитання 4

Значення якої з наведених функцій додатні в II чверті?

варіанти відповідей

 y=sinx 

 y=cosx

  y=tgx

Запитання 5

Обчисліть значення sin α, якщо cos α = 0,8 та α - кут IV чверті.

варіанти відповідей

0,6

- 0,6

0,2

- 0,2

- 0,36

Запитання 6

Яка з наведених нерівностей правильна?

варіанти відповідей

 sin 200° > 0.

 tg 100° > 0.

cos130° < 0

sin 370° < 0.

Запитання 7

Знайдіть значення виразу:

2sin²β - 1 + 2cos²β

варіанти відповідей

1

3

3cos2β

sin2β

Запитання 8

sin 200°=

варіанти відповідей

sin 20°

- sin 20°

- cos 20°

- sin 70°

Запитання 9

Спростіть вираз

варіанти відповідей

cos2α

1/cos2α

cos2α/sin4α

1/sin2α

Запитання 10

Оберіть правильні твердження

варіанти відповідей

1 - cos2α = sin2α

tg α = sin α/cos α

tg α = cos α/sin α

sin 2α = cos2α - sin2α

Запитання 11

Розв'яжіть рівняння

cos 2x = -1

варіанти відповідей
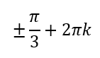
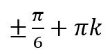
Запитання 12

Розв'яжіть рівняння

6cos 2x - 3=0

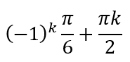
варіанти відповідей

Створюйте онлайн-тести
для контролю знань і залучення учнів
до активної роботи у класі та вдома

Створити тест