Обчисліть √64+√36
Яке графічне зображення функції?
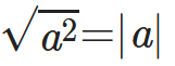
Яка з наведених властивостей квадратного кореня є вірною?
Спрощення виразу √18+√8 дає:
Яка з наведених задач використовує квадратний корінь?
Спростіть вираз √50
.
Обчисліть значення виразу:
Спростіть вираз 
Яке з наведених чисел є раціональним?
Обчисліть:
Створюйте онлайн-тести
для контролю знань і залучення учнів
до активної роботи у класі та вдома