Властивості арифметичного квадратного кореня. Тотожні перетворення виразів, що містять квадратні корені. Самостійна робота.

8 запитань
Запитання 1

Виконайте дію

варіанти відповідей

8√25

40

8√5

20√5

Запитання 2

Обчисліть (-2√7)2

варіанти відповідей

28

-28

196

98

Запитання 3

Обчисліть (√11−√19)(√11+√19)=

варіанти відповідей

30

-8

-240

√8

Запитання 4

Порівняйте ⅖√125 і ⅗√75

варіанти відповідей

 ⅖√125 < ⅗√75

 ⅖√125 > ⅗√75

 ⅖√125 = ⅗√75

неможливо визначити

Запитання 5

Скоротіть вираз

варіанти відповідей
Запитання 6

Звільніться від ірраціональності в знаменнику дробу:

варіанти відповідей
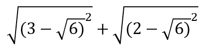
Запитання 7

Спостіть вираз:

Розв'язок завдання надіслати в особисті.

варіанти відповідей

Надсилаю

Не надсилаю

Запитання 8

Розв'яжіть рівняння графічно:

Розв'язок завдання надіслати в особисті.

варіанти відповідей

Надсилаю

Не надсилаю

Створюйте онлайн-тести
для контролю знань і залучення учнів
до активної роботи у класі та вдома

Створити тест