Властивості функції

Додано: 19 вересня 2025
Предмет: Алгебра, 10 клас
Копія з тесту: Властивості функції
8 запитань
Запитання 1

На малюнку зображено графік функції y = f(x), яка визначена на проміжку

 [–6; 5]. На яких проміжках ця функція зростає?

варіанти відповідей

[–1; 5]

 [–2; 2]

 [–2; 3]

 [–6; –1]

Запитання 2

На малюнку зображено графік функції y = f(x), яка визначена на проміжку [–6; 5]. На яких проміжках ця функція спадає?

варіанти відповідей

[–2; 3]

 [–6; –1]

 [–1; 5]


 [–2; 2]

Запитання 3

Користуючись графіком функцій, вкажіть проміжки спадання функцій

варіанти відповідей

(-∞;-5 );  

(-5;2 );  

(2;+∞) 

Запитання 4

Вкажіть нулі функції.

варіанти відповідей

−7; −3; 5

−5; −2; 1

 −5; −3; 1

−5; −2; 5

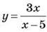
Запитання 5

Знайдіть область визначення функції

варіанти відповідей

ОДЗ: всі числа.

 ОДЗ: всі числа, крім 3

 ОДЗ: всі числа, крім -5

ОДЗ: всі числа, крім 5

Запитання 6

На малюнку зображено графік функції f(x). Знайдіть область визначення даної функції


варіанти відповідей

[–2; 2]


 [–2; 3]

 

[–5; –2]


 [–5; 4]


Запитання 7

На малюнку зображено графік функції f(x). Знайдіть область значень даної функції.


варіанти відповідей

[–2; 2]


 [–2; 3]

 

[–5; 4]


Запитання 8

Знайдіть f(–2), якщо f(x) = 3x– 2.


варіанти відповідей

- 8

8

4

Створюйте онлайн-тести
для контролю знань і залучення учнів
до активної роботи у класі та вдома

Створити тест