Властивості кореня

Додано: 21 грудня 2025
Предмет: Алгебра, 10 клас
9 запитань
Запитання 1

На якому з малюнків зображено ескіз графіка функції

варіанти відповідей
Запитання 2

Винесіть множник з-під знака кореня

варіанти відповідей
Запитання 3

Спростити вираз:

варіанти відповідей
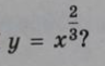
Запитання 4

Подайте вираз у вигляді степеня з основою у:

варіанти відповідей
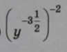
Запитання 5

Подайте вираз у вигляді степеня з основою у;

варіанти відповідей

у-7

у7

у4

у6

Запитання 6

Обчисліть:

варіанти відповідей
Запитання 7

Обчисліть:

варіанти відповідей

8

16

24

12

Запитання 8

Обчислити:

варіанти відповідей

5

25

1

0

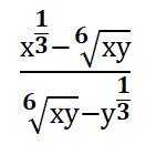
Запитання 9

Скоротіть дріб:

варіанти відповідей

Створюйте онлайн-тести
для контролю знань і залучення учнів
до активної роботи у класі та вдома

Створити тест