Закон Кулона

Додано: 10 березня
Предмет: Фізика, 8 клас
20 запитань
Запитання 1

Вкажіть назву негативно зарядженої частинки.

варіанти відповідей

фотон

нейтрон

електрон

протон

Запитання 2

Вкажіть назву позитивно зарядженої частинки.

варіанти відповідей

фотон

нейтрон

електрон

протон

Запитання 3

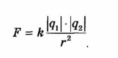
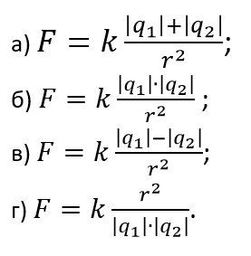
Вкажіть вираз, що є математичним записом закону Кулона: 

варіанти відповідей

А

В

Б

Г

Запитання 4

Як позначають електричний заряд та якими одиницями його вимірюють?

варіанти відповідей

E, Н/Кл

N, одиниць вимірювання немає

q, Кл

e, Н

Запитання 5

Яким приладом можна виявити електричний заряд?

варіанти відповідей

Електроскоп

Електрофен

Гальванометр

Громовідвід

Запитання 6

У міру віддалення від заряду його поле:

варіанти відповідей

посилюється

послаблюється

коливається

не змінюється

намагнічується

Запитання 7

Яка частинка є носієм найменшого (елементарного) негативного заряду?

варіанти відповідей

Електрон

Нейтрон

Протон

Запитання 8

Яке значення має елементарний заряд?

варіанти відповідей

1,6 ⋅ 10 −19 Кл

1,6 ⋅ 10+19 Кл

1,6 ⋅ 10 −18 Кл

Запитання 9

Як змінюється сила взаємодії двох зарядів при збільшенні відстані між ними вдвічі?

варіанти відповідей

Збільшиться в 4 рази

Зменшиться в 4 рази

Зменшиться в 2 рази

Не зміниться

Запитання 10

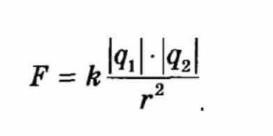
Оберіть математичний вигляд закону Кулону.

варіанти відповідей
Запитання 11

Електричне поле існує

варіанти відповідей

 Навколо тіл, які рухаються

Навколо будь-яких тіл

Навколо заряджених тіл або частинок

у вакуумі

Запитання 12

Як зміниться сила взаємодії двох точкових зарядів, якщо модуль кожного з них збільшити у 2 рази?

варіанти відповідей

Зменшиться в 4 рази

Збільшиться в 4 рази

Збільшиться в 2 рази

Зменшиться в 2 рази

Запитання 13

Два заряди -3 нКл і 5 нКл розташовані на відстані 3 см один від одного. Визначте силу притягання між ними.

варіанти відповідей

15* 10-5 Н

100 Н

1500* 106 Н

200 Н

Запитання 14

Як з грецької перекладається слово «електрон»?

варіанти відповідей

Частина

Бурштин

Негативний

Маленький 

Запитання 15

Електричним струмом називають ...

варіанти відповідей

заряд, який проходить через поперечний переріз провідника

властивість провідників передавати накопичений заряд іншим провідникам

впорядкований (направлений) рух заряджених частинок

правильної відповіді немає

Запитання 16

Особлива форма матеріі,що існує навколо заряджених тіл або частинок и діє з деякою силою на інші частинки або тіла,які мають електричний заряд

варіанти відповідей

Електричне поле

Магнітне поле

Гравітаційне поле

Електромагнітне поле

Запитання 17

Закон взаємодії нерухомих зарядів встановив (одна правильна)

варіанти відповідей

Тесла

Лейбніц

Ньютон

Кулон

Запитання 18

Сили Кулона напрямлені (одна правильна)

варіанти відповідей

вздовж прямої

по дотичній

від + до -

від - до +

Запитання 19


Як зміниться сила взаємодії двох точкових зарядів,  якщо відстань між ними збільшити в 2 рази?

варіанти відповідей

Сила збільшиться в 2 рази

Сила збільшиться в 4 раз

Сила зменшиться в 2 рази

Сила зменшиться в 4 рази

Запитання 20

Як зміниться сила взаємодії двох точкових зарядів, якщо заряд одного зменшити в 2 рази, а заряд іншого збільшити в 4 рази?

варіанти відповідей

Сила збільшиться в 4 рази

Не зміниться

Сила зменшиться в 2 рази

Сила збільшиться в 2 рази

Створюйте онлайн-тести
для контролю знань і залучення учнів
до активної роботи у класі та вдома

Створити тест