Зведення раціональних дробів до спільного знаменника

Додано: 13 жовтня 2025
Предмет: Алгебра, 8 клас
6 запитань
Запитання 1

1. Що таке спільний знаменник?

варіанти відповідей

A. Сума знаменників дробів

B. Найменше спільне кратне знаменників

C. Добуток знаменників

D. Найменше спільне кратне чисельників

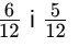
Запитання 2

2

варіанти відповідей

A. Перший на 4, другий на 3

B. Перший на 3, другий на 4

C. Обидва на 12

D. Обидва на 7

Запитання 3

3. Який найменший спільний знаменник для дробів

варіанти відповідей

A. 14

B. 24

C. 48

D. 12

Запитання 4

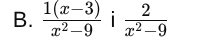
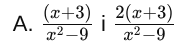
4. Зведіть дроби до спільного знаменника:

варіанти відповідей
Запитання 5

5. Знайди найменший спільний знаменник для дробів

варіанти відповідей
Запитання 6

6. Зведіть дроби до спільного знаменника:

варіанти відповідей

Створюйте онлайн-тести
для контролю знань і залучення учнів
до активної роботи у класі та вдома

Створити тест