17/09/2025 р. Алгебра 8 клас. Раціональні вирази. Раціональні дроби. Допустимі значення змінних.

12 запитань
Запитання 1

Раціональний вираз, який не містить ділення на змінну називають

варіанти відповідей

 цілим раціональним виразом 

дробовим раціональним виразом

не знаю

Запитання 2

Раціональний вираз, який містить ділення на змінну називають

варіанти відповідей

Цілим раціональним виразом 

Дробовим раціональним виразом

не має назви

Запитання 3

Коли в знаменнику дробового виразу міститься змінна, ми можемо виконати це ділення лише тоді  

варіанти відповідей

  Коли знаменник дорівнює 0 

Коли знаменник не дорівнює 0

Коли знаменник відсутній

Взагалі виконати ділення неможливо

Коли знаменник будь-який

Запитання 4

Який з виразів є цілим?

варіанти відповідей

 Всі надані вирази дробові, цілого виразу немає

Запитання 5

Знайти допустимі значення змінних раціонального виразу

варіанти відповідей

 всі числа, крім −5   

 всі числа, крім 5

всі числа, крім 0

всі числа

Запитання 6

При якому значені змінної, вираз не має змісту?

варіанти відповідей

 17 

18

  −17

−18

±17

 ±18

  0

Запитання 7

При яких значеннях змінної має зміст вираз

варіанти відповідей

при всіх, крім 4 

  при всіх, крім 4 і −4

 при всіх, крім 2 і −2

при всіх, крім 2

при всіх, крім 3

при будь-яких значеннях х

Запитання 8

Знайти ОДЗ

варіанти відповідей

9 і -9

9; -9; -13/21

13/21

-13/21

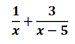
Запитання 9

При яких значеннях змінної вираз немає змісту?(надіслати фото розв'язку)

варіанти відповідей

0

0 та -5

0 та 5

-5 та 5

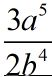
Запитання 10

Обчисліть значення раціонального дробу , при у = -1,b=5.

варіанти відповідей

8

5

-5

-8

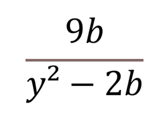
Запитання 11

Знайдіть ОДЗ виразу 

варіанти відповідей

х – будь – яке число

будь – які значення змінної, крім х =0, х=6

х=0,х=6

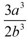
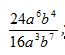
Запитання 12

Скоротіть дріб

варіанти відповідей

Створюйте онлайн-тести
для контролю знань і залучення учнів
до активної роботи у класі та вдома

Створити тест