2 тестуванняАлгебра 8 кл

Додано: 17 березня
Предмет: Алгебра, 8 клас
22 запитання
Запитання 1

Винесіть за дужки спільний множник у многочлена а2+ab-a

варіанти відповідей


a(a-b-1)

 a(a+b)

a(a+b-1)

 a(a+ab-a)

Запитання 2

Винесіть спільний множник за дужки

3a(7-b)-4b(7-b)=

варіанти відповідей

 (7-b)+(3a-4b)

(7+b)(3a-4b)

 (7-b)(3a+4b)

(7-b)(3a-4b)

Запитання 3

Винесіть спільний множник за дужки

4x3y-6x2y2=

варіанти відповідей

2xy(2x-3y)

2x2y(2x-3y)

2x2y(2x-3y2)

2x2y(2x+3y)

Запитання 4

Подайте у вигляді многочлена (x + 3)²

варіанти відповідей

 x² + 9

 x² - 6x + 9

 x² + 6x + 9

 x² + 3x + 9

Запитання 5

Піднесіть до квадрата: (3x - 1)2

варіанти відповідей

2-6х-1

 9х2-2

2-6х +1

3х-1

Запитання 6

Подайте тричлен х2 - 16х + 64 у вигляді квадрату суми або різниці

варіанти відповідей

(х - 8)2

 (х + 8)2

 (х-8)(х+8)

 (х-32)2

Запитання 7

Розкладіть на множники: b (b – 20) + (20 – b)

варіанти відповідей

(b-20)(b+1)

(b+1)(20-b)

(b-20)(b-1)

b(20-b)

Запитання 8

Розкладіть на множники:5a (m – n) + 7b (m – n); 

варіанти відповідей

(m+n)(5a+7b)

 (5a+7b)(m+n)

 5a(m-n+7b)

(m-n)(5a+7b)

Запитання 9

Винесіть за дужки спільний множник:

6+7х5-16х4


варіанти відповідей

42+7х+16)

 4х42-4)+7х5

х4(4х2+7х-16)

х6(4+7-16)

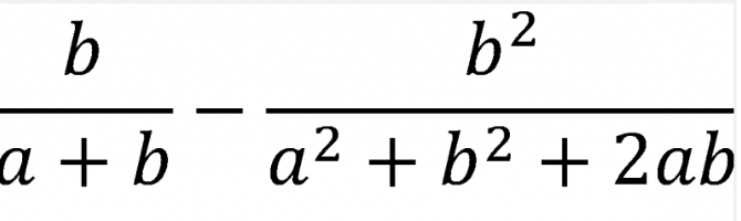
Запитання 10

Виконайте дії

варіанти відповідей

b

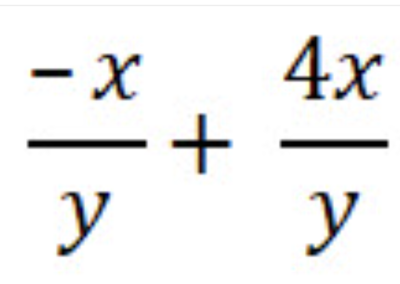
Запитання 11

Виконайте дії

варіанти відповідей
Запитання 12

Скоротіть дріб

варіанти відповідей

a3

1/a3

a2

1/a2


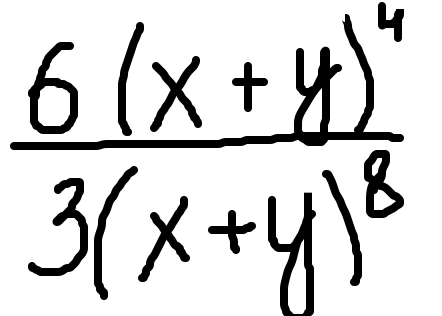
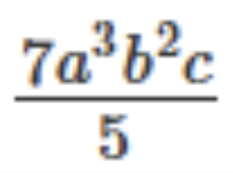
Запитання 13

Скоротіть дріб:

варіанти відповідей

8

8x

8/11

1/11

Запитання 14

Скоротіть дріб:

варіанти відповідей
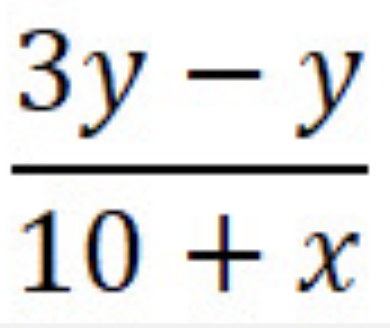
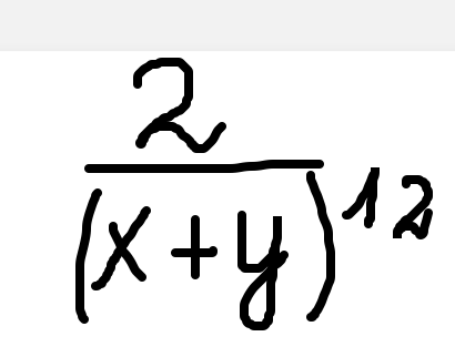
Запитання 15

Скоротіть дріб:

варіанти відповідей
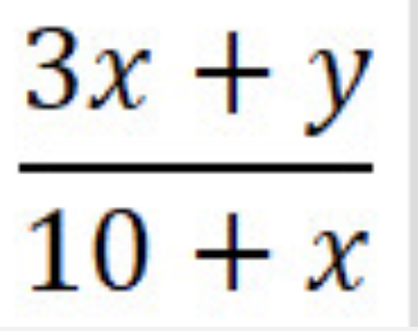
Запитання 16

Виконайте дію

варіанти відповідей
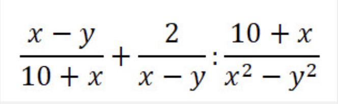
Запитання 17

Спростіть:

варіанти відповідей
Запитання 18

Спростити вираз

варіанти відповідей
Запитання 19

Увідповідніть вираз та його спрощення 

варіанти відповідей
Запитання 20

Спростити вираз

варіанти відповідей
Запитання 21

Обчисліть значення виразу

варіанти відповідей

6,5

6

1,2

-1,2

2,5

0,5

Запитання 22

Спростіть вираз:

варіанти відповідей

Створюйте онлайн-тести
для контролю знань і залучення учнів
до активної роботи у класі та вдома

Створити тест