8 клас. Розв'язування рівнянь, що зводяться до квадратних

Додано: 28 квітня 2025
Предмет: Алгебра, 8 клас
7 запитань
Запитання 1

Розкладіть на множники квадратний тричлен:

2-6х+7

варіанти відповідей

(х+1))(х-7)

-(х+7)(х-1)

(х+1)(х-7)

-(х+1)(х-7)

Запитання 2

Скоротити дріб

варіанти відповідей

5(х - 1)(х - 0,6)

(х - 1)(х - 0,6)

5(х + 0,6)

5(х - 0,6)

Запитання 3

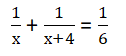
Розв'яжіть рівняння:

варіанти відповідей

3

-3

1

-1

Запитання 4

Розв’яжіть біквадратне рівняння х4-13х2+36=0 , використовуючи метод заміни.

варіанти відповідей

 -3; -2; 2; 3

 2; 3

-2; 2;

-3; 3

Запитання 5

Розв'яжіть рівняння: х- 6√х - 7=0


варіанти відповідей

немає розв'язку

6 і -7

49

7

Запитання 6

Дві бригади робітників, працюючи разом, можуть виконати завдання за 4 дні. Перша бригада, працюючи окремо, може виконати це завдання на 6 днів раніше, ніж друга. За скільки днів може виконати це завдання перша бригада?

Яке з рівнянь відповідає умові задачі, якщо через х позначено кількість днів, за які може виконати завдання перша бригада?

варіанти відповідей
Запитання 7

Розв'яжіть задачу:

Відстань 630 км швидкий поїзд проїхав на 2 години швидше, ніж товарний. Яка швидкість кожного поїзда, якщо швидкість швидкого поїзда на 20 км/год більша, ніж товарного?


варіанти відповідей

140 км/год і 120км/год

100км/год і 120км/год

80км/год і 60км/год

90км/год і 70км/год

Створюйте онлайн-тести
для контролю знань і залучення учнів
до активної роботи у класі та вдома

Створити тест