9 Числові проміжки

Додано: 22 жовтня 2024
Предмет: Алгебра, 9 клас
Копія з тесту: 9-Г Числові проміжки
10 запитань
Запитання 1

Який із проміжків відповідає малюнку.

варіанти відповідей

(-3; 2]

(-3; 2)

[-3; 2]

 [-3; 2)

Запитання 2

Який із проміжків відповідає малюнку.

варіанти відповідей

(-∞; 1)

(1; +∞)

(-∞; 1]

[1; +∞)

Запитання 3

Який із числових проміжків є розв′язком нерівності x < 12.

варіанти відповідей
Запитання 4

Який проміжок зображено на малюнку?

варіанти відповідей

(10; +∞)

(–∞; 10]

[10; +∞)

(–∞; 10)

Запитання 5

Укажіть число, що є розв'язком нерівності х > −17

варіанти відповідей

−17

−12

−30

−21

Запитання 6

Укажіть найменше ціле число, яке належить проміжку

[-5,8; 4,7]

варіанти відповідей

4. 

 -5.

-6.

-4.

Запитання 7

Скільки натуральних чисел належить проміжку

[-2 ; 6 )

варіанти відповідей

7

6

5

8

Запитання 8

Розвязати нерівність 12 + 4х ≥ 6х.

варіанти відповідей

( - ∞; 6]

( - ∞; 1,2)

[ 12; + ∞ )

( - ∞; 1,2]

Запитання 9

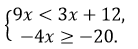
Розв’яжіть систему нерівностей:

варіанти відповідей

 (– ∞; 2)

(– ∞; 5]

(2; 5]

Запитання 10

Перерізом проміжків [1; 8) і (5; 10] є проміжок

варіанти відповідей

 (5; 8)

 [1; 10]

 [5; 8]

[1; 5)

Створюйте онлайн-тести
для контролю знань і залучення учнів
до активної роботи у класі та вдома

Створити тест