В якій із зазначених груп йонів знаходяться лише аніони:
Яка з речовин у водному розчині дисоціює з утворенням йону Мg2+
Серед запропонованих речовин виберіть формулу електроліту:
Вкажіть йон, який завжди утворюється при дисоціації кислот:
В результаті дисоціації натрій сульфату утворились йони:
Які із зазначених нижче пар йонів не можуть одночасно перебувати в розчині?
Умови перебігу реакцій йонного обміну до кінця
Електроліт має ступінь дисоціації 20%. Скільки молекул розпалося на йони з кожних 200 молекул?
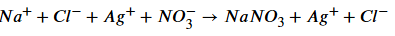
Яке йонне рівняння відповідає реакції між розчином хлориду натрію та нітрату срібла?
Виберіть для даної хімічної реакції ознаку перебігу реакції:
Створюйте онлайн-тести
для контролю знань і залучення учнів
до активної роботи у класі та вдома