9 клас. Алгебра. КР №1. Нерівності

Додано: 16 листопада 2025
Предмет: Алгебра, 9 клас
7 запитань
Запитання 1

Укажіть число, що є розв'язком нерівності 4х > 11.

варіанти відповідей

2

-3

3

0

Запитання 2

Який запис відповідає проміжку, зображеному на малюнку?

варіанти відповідей

(-2; 3)

(-2; 3]

[-2; 3]

[-2; 3)

Запитання 3

Укажіть нерівність, що є лінійною нерівністю з однією змінною.

варіанти відповідей
Запитання 4

Відомо, що а < b. Порівняйте вираз - 3а ... -3b.Виберіть правильний варіант відповіді.

варіанти відповідей

- 3а < -3b

- 3а > -3b.

- 3а = -3b.

Запитання 5

Розв'яжіть нерівність 7х - 2 > х + 10.

варіанти відповідей
Запитання 6

Повне розв'язання завдання прикріпити в Класрум. Бали за це завдання додадуться в Класрум.

Розв'яжіть систему нерівностей.

варіанти відповідей

Завдання прикріпив/ла в Класрум.

Завдання не прикріпив/ла в Класрум.

Запитання 7

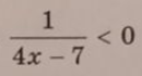
Повне розв'язання завдання прикріпити в Класрум. Бали за це завдання додадуться в Класрум.

Знайдіть область визначення функції

варіанти відповідей

Завдання прикріпив/ла в Класрум.

Завдання не прикріпив/ла в Класрум.

Створюйте онлайн-тести
для контролю знань і залучення учнів
до активної роботи у класі та вдома

Створити тест