_АЛГЕБРА_Раціональні дроби. Основна властивість раціонального дробу. Дробові вирази. Додавання і віднімання дробів

19 запитань
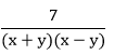
Запитання 1

Скоротіть дріб

варіанти відповідей
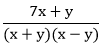
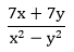
Запитання 2

Скоротіть дріб

варіанти відповідей
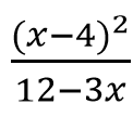
Запитання 3

При якому значенні змінної вираз не має значення?

варіанти відповідей

-18 ; 17

-18

17

18; -17

Запитання 4

Скоротіть дріб

варіанти відповідей
Запитання 5

Знайти допустимі значення змінних раціонального виразу

варіанти відповідей

всі числа, крім −5   

 всі числа, крім 5

всі числа, крім 0

всі числа

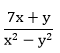
Запитання 6

При яких значеннях змінної має зміст вираз?

варіанти відповідей

при всіх, крім 4 

при всіх, крім 4 і −4

 при всіх, крім 2 і −2

при всіх, крім 2

Запитання 7

При яких значеннях змінної вираз немає змісту?(надіслати фото розв'язку)

варіанти відповідей

0

0 та -5

0 та 5

-5 та 5

Запитання 8

Скоротіть дріб

варіанти відповідей
Запитання 9

Скоротіть дріб

варіанти відповідей

нескоротній дріб

Запитання 10

Скоротіть дріб

варіанти відповідей
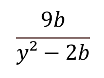
Запитання 11

Обчисліть значення раціонального дробу , при у = -1,b=5.

варіанти відповідей

8

5

-5

-8

Запитання 12

Знайдіть ОДЗ виразу 

варіанти відповідей

х – будь – яке число

будь – які значення змінної, крім х =0, х=6

х=0,х=6

Запитання 13

скоротити дріб:


варіанти відповідей

15

45

Запитання 14

Спростіть вираз 

варіанти відповідей

1

½

0

х+5х+5

Запитання 15

Скоротіть дріб   

варіанти відповідей

4-х3

х-43

х+43

-(х+43)

Запитання 16

Різниця дробів дорівнює:

варіанти відповідей
Запитання 17

Додати дроби

варіанти відповідей
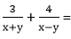
Запитання 18

Додати дроби

варіанти відповідей
Запитання 19

Відняти дроби

варіанти відповідей

0

Створюйте онлайн-тести
для контролю знань і залучення учнів
до активної роботи у класі та вдома

Створити тест