Функції, їх властивості та графіки

Додано: 14 жовтня 2025
Предмет: Алгебра, 10 клас
10 запитань
Запитання 1

Функцію задано формулою f(x)=x2 +2x -5. Знайдіть f(0)-f(-1)+f(2).

варіанти відповідей

-2

-8

6

8

інша відповідь

Запитання 2

На рисунку побудовно графік функції y=f(x), визначеної на множині дійсних чисел. Укажіть інтервали, на яких функція набуває від'ємних значень.

варіанти відповідей

(-4;1,5)

(-8;1,5)

(1,5;+∞)

(-8;1,5)∪(3;+∞)

(-∞;-8)∪ (-1,5;3)

Запитання 3

Укажіть точку, яка належить графіку функції y=x-3

варіанти відповідей

A(1;3)

В(1;-1)

C(0;0)

D(-2;-1/8)

Запитання 4

Графік якої з наведених функцій схематично зображений на малюнку

варіанти відповідей

y=x1/4

y=x-3

y=x-2

y=x3/2

Запитання 5

Функція у = 6х − 2х

варіанти відповідей

ні парна, ні непарна

непарна

парна

визначити неможливо

Запитання 6

Вибрати правильну нерівність для функції f(x)=x8

варіанти відповідей

f(2,3)≤f(1,8)

f(2,1)≤f(1,7)

f(2/3)≤f(1/2)

f(1,7)≤f(2,1)

Запитання 7

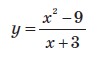
Знайти нулі функції:


варіанти відповідей

3 і -3

-3 і 9

3

9

Запитання 8

Знайдіть область визначення функції , заданої формулою

у=( 7х-2):( х2 +16)

варіанти відповідей

х∊ℝ, крім {-4;4}

х≥16

х∊ℝ

х≥4

Запитання 9

За даним графіком знайти суму нулів функції

варіанти відповідей

-9

0

9

3

Запитання 10

Не будуючи графік функції у, встановіть, при яких значеннях х вона набуває додатних значень

у=х-4

варіанти відповідей

х≥4

х≤4

х<4

х>4

Створюйте онлайн-тести
для контролю знань і залучення учнів
до активної роботи у класі та вдома

Створити тест