Ароматичні моно- та дикарбонові кислоти. Естери, реакція етерифікації. Вищі жирні кислоти, жири, мила.

Додано: 1 березня
Предмет: Хімія, 11 клас
22 запитання
Запитання 1

Реакція добування бензойної кислоти з толуолу перебігає за схемою:


Умови протікання даної реакції:

варіанти відповідей

Нагрівання з сульфатною кислотою

Кип'ятіння на повітрі

Дія натрію гідроксиду при кімнатній температурі

Окисления калій перманганатом

Дія пероксиду гідрогену при кімнатній температурі

Запитання 2

В яке положення відбувається реакція нітрування бензойної кислоти?

варіанти відповідей

в мета- положення

в пара- положення

не відбувається

в орто і пара- положення

в орто- положения

Запитання 3

Для якої з наведених кислот можлива реакція SE?

варіанти відповідей

мурашина

пропіонова

бензойна

акрилова

оцтова

Запитання 4

Карбоксильна група є:

варіанти відповідей

замісником І роду, орієнтує в о-положения

замісником І роду, орієнтує в п-положення

замісником ІІ роду, орієнтує в п-положення

замісником ІІ роду, орієнтує в о-положення

замісником ІІ роду, орієнтує в м-положення

Запитання 5

Карбонова кислота може бути синтезована:

варіанти відповідей

гідролізом бромалкану

гідролізом трихлоралкану

гідролізом бромалкену

гідролізом хлор алкену

гідролізом хлоралкану

Запитання 6

В яке положення відбувається реакція хлорування бензойної кислоти?

варіанти відповідей

в орто- положення

в орто і пара- положення

в пара- положення

не відбувається

в мета положення

Запитання 7

В результаті окислення невідомої сполуки утворюється фталева кислота за схемою.



Знайдіть цю сполуку:

варіанти відповідей
Запитання 8

Вивчають хімічні властивості карбонових кислот. Яка кислота при взаємодії з розчином FeCl, утворюєт осад рожево-жовтого кольору?

варіанти відповідей

Щавлева

Бензойна

Малонова

Мурашина

Фумарова

Запитання 9

Мурашина кислота вступає в реакцію з стиловим спиртом за схемою:


Який клас сполук утворюється при цьому?

варіанти відповідей

Аміди

Естери

Галогенангідриди

Нітрили

Ангідриди

Запитання 10

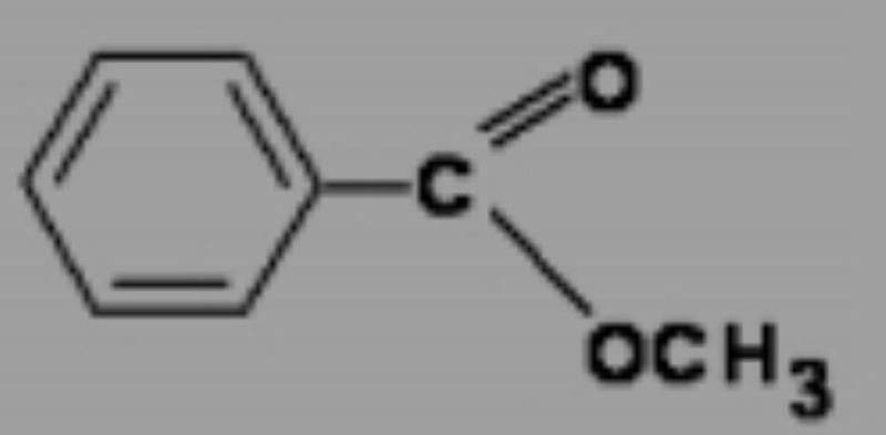
Вкажіть структурну формулу фенілацетату:

варіанти відповідей
Запитання 11

При проведенні експрес-аналізу на бензоат-іони реакцією з феруму (ПП) хлоридом (фармакопейна реакція) утворюється:

варіанти відповідей

Рожево-жовтий осад

Зелений осад

Червоний осад

Синій осад

Чорний осад

Запитання 12

У результаті якої з наведених реакцій утворюється фталевий ангідрид?

варіанти відповідей
Запитання 13

Оберіть вихідну сполуку для синтезу фталевої кислоти в одну стадію:

варіанти відповідей

Саліцилова кислота

о-Ксилол

м-Ксилол

2-Хлорбензойна кислота

1,2-Дихлорбензол

Запитання 14

Яка кислота утворюється при окисленні орго-диметилбензолу (о-ксилолу) киснем повітря на каталізаторі:

варіанти відповідей

Орто-Толуїлова кислота

Саліцилова кислота

Фталева кислота

Фенілоцтова кислота

Бензойна кислота

Запитання 15

Вкажіть вірний продукт реакції:

варіанти відповідей
Запитання 16

3 яким з наведених реагентів бензойна кислота вступає в реакцію по бензольному кільцю?

варіанти відповідей

NaOH

NH3 : t

PCI3

P2O5

HNO, (k) + H₂SO₄ (k)

Запитання 17

Щоб перетворити бензойну кислоту в її водорозчинну сіль, необхідно провести реакцію бензойної кислоти з:

варіанти відповідей

Гексаном

Ізопропанолом

Ацетоном

Натрію гідрокарбонатом

Нітратною кислотою

Запитання 18

При взаємодії речовин за схемою одержують:

варіанти відповідей

Етилформіат

Метилетаноат

Метилформіат

Метилацетат

Етилацетат

Запитання 19

Які речовини можна одержати при лужному гідролізі трипальмітину?

варіанти відповідей

Пальмітинова кислота і натрій гідроксид

Гліцерин і натрій стеарат

Натрій пальмітат і вода

Натрій пальмітат і гліцерин

Гліцерин і пальмітинова кислота

Запитання 20

Який реагент дозволяє відрізнити олеїнову кислоту CH(CH2)-CH=CH(CH2)-СООН від стеаринової СCH(CH3)COOH?

варіанти відповідей

епилацетат

NH3

бромна вода

NaHCO3

NaOH

Запитання 21

Вкажіть реагент, що дозволяє при лужному гідролізі жирів (омиленні) отримати "рідке мило":

варіанти відповідей

NaOH

PbO

CaO

NaHCO3

K2CO3

Запитання 22

Природні жири мають рідку або тверду консистенцію. Зазначте головну причину існування жирів в тому чи іншому стані:

варіанти відповідей

Розміри молекул

Співвідношення насичених та ненасичених кислот

Метод отримання

Сольватація молекул

Наявність гідрогенних зв'язків

Створюйте онлайн-тести
для контролю знань і залучення учнів
до активної роботи у класі та вдома

Створити тест