Бліц-опитування "Площа трикутника"

Додано: 21 серпня 2025
Предмет: Геометрія, 8 клас
13 запитань
Запитання 1

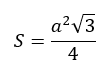
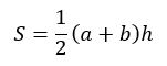
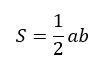
Укажіть формулу, яка не є формулою площі трикутника

варіанти відповідей
Запитання 2

За малюнком знайдіть площу трикутника АВС

варіанти відповідей

40 см2

20 см2

13 см2

7,5 см2

Запитання 3

Знайдіть за малюнком площу трикутника РКЕ.

варіанти відповідей

65 см2

32,5 см2

18 см2

36 см2

Запитання 4

Знайдіть площу трикутника АВС.

варіанти відповідей

8 см2

4 см2

6 см2

3 см2

Запитання 5

Знайдіть площу трикутника АВС.

варіанти відповідей

15 см2

7,5 см2

12 см2

6 см2

Запитання 6

За малюнком знайдіть площу трикутника АВС.

варіанти відповідей

60 см2

30 см2

50 см2

24 см2

Запитання 7

Укажіть формулу, за якою можна обчислити площу паралелограма

варіанти відповідей
Запитання 8

Знайдіть площу паралелограма, якщо сторона паралелограма дорівнює 18 см, а висота проведена до неї 5 см.

варіанти відповідей

80 см2

90 см2

40 см2

45 см2

Запитання 9

Знайдіть сторону паралелограма, якщо висота проведена до неї дорівнює 16 см, а площа паралелограма 320 см2.

варіанти відповідей

20 см

16 см

10 см

12 см

Запитання 10

Периметр ромба дорівнює 36 см, а його висота 6 см. Знайдіть площу ромба.

варіанти відповідей

108 см2

42 см2

54 см2

24 см2

Запитання 11

За малюнком знайдіть площу паралелограма

варіанти відповідей
Запитання 12

Сторони прямокутника АВСК дорівнюють 4 см і 12 см. Знайдіть площу трикутника АВК.

варіанти відповідей

48 см2

16 см2

8 см2

24 см2

Запитання 13

Площа прямокутника дорівнює 100 см2. Одна із його сторін у 4 рази більша ніж друга. Знайдіть меншу сторону прямокутника.

варіанти відповідей

10 см

20 см

25 см

5 см

Створюйте онлайн-тести
для контролю знань і залучення учнів
до активної роботи у класі та вдома

Створити тест