Бліц-опитування "Властивості функції"

Додано: 10 червня 2025
Предмет: Алгебра, 9 клас
5 запитань
Запитання 1

Функція у=f(x) зростаюча, якщо:

варіанти відповідей

х2 > х1

у2 > у1

при х2 > х1 f(x2) < f(x1)

при х2 > х1 f(x2) > f(x1)

Запитання 2

Функція у=f(x) спадна, якщо:

варіанти відповідей

х2 < х1

f(х2) < f(х1)

при х2 < х1 f(х2) < f(х1)

при х2 > х1 f(х2) < f(х1)

Запитання 3

Якщо відомо, що f(3)=0, то:

варіанти відповідей

х=3 є нулем функції y=f(x)

у=3 є нулем функції y=f(x)

х=0 це нуль функції y=f(x)

функція y=f(x) має нулі

Запитання 4

Яка з наведених лінійних функцій є спадною?

варіанти відповідей

у=4х-5

у=4х+5

у=1/4х

у=-4х+5

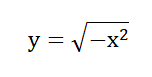
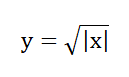
Запитання 5

Область визначення якої з наведених функцій складається з одного числа?

варіанти відповідей

Створюйте онлайн-тести
для контролю знань і залучення учнів
до активної роботи у класі та вдома

Створити тест