ЕК № 15. Функція і її властивості. Варіант 2

Додано: 27 жовтня 2025
Предмет: Алгебра, 9 клас
3 запитання
Запитання 1

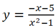
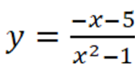
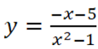
Дано функцію. Знайдіть значення функції для x = 3.

варіанти відповідей

– 4

– 1

– 8

8/5

Запитання 2

Знайдіть область визначення функції.

варіанти відповідей

(– ∞; + ∞)

(– ∞; 1) ∪ (1; + ∞)

(– ∞; – 1) ∪ (– 1; 1) ∪ (1; + ∞)

х = – 5

Запитання 3

Знайдіть нулі функції.

варіанти відповідей

– 5; ± 1

– 5

± 1

5

Створюйте онлайн-тести
для контролю знань і залучення учнів
до активної роботи у класі та вдома

Створити тест