ЕК № 29. Система двох рівнянь із двома змінними.як математична модель прикладної задачі. Варіант 2

Додано: 15 січня
Предмет: Алгебра, 9 клас
3 запитання
Запитання 1

Одне з чисел на 6 менше від іншого. Знайдіть ці числа, якщо їх добуток дорівнює 16. 


Нехай х – це менше число, а у – більше число. Яке з наведених рівнянь відповідає першій умові задачі? 


варіанти відповідей

у х = 6.  

ху = 4.  

х = 6 − у.  

у = 6 – х.

Запитання 2

Одне з чисел на 6 менше від іншого. Знайдіть ці числа, якщо їх добуток дорівнює 16.

Нехай х – це менше число, а у – більше число. Яке з наведених рівнянь відповідає першій умові задачі? 


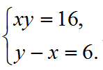
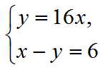
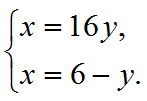
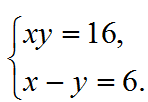
Яка з систем рівнянь відповідає умові задачі?


варіанти відповідей
Запитання 3

Одне з чисел на 6 менше від іншого. Знайдіть ці числа, якщо їх добуток дорівнює 16. 

Нехай х – це менше число, а у – більше число. Яке з наведених рівнянь відповідає першій умові задачі? 


Які пари чисел є розв’язками задачі?


варіанти відповідей

х = 8; у = 2.       

х = 8; у = 2 або х = – 2; у = – 8.

х = 2; у = 8.       

х = 2; у = 8 або х = – 8; у = – 2.

Створюйте онлайн-тести
для контролю знань і залучення учнів
до активної роботи у класі та вдома

Створити тест