Контрольна робота з теми: "Електромагнітні коливання та хвилі"

Додано: 7 грудня 2025
Предмет: Фізика, 11 клас
37 запитань
Запитання 1

Якою літерою позначають амплітуда коливань?

варіанти відповідей

λ

Τ

Χ

Α

Запитання 2

Яку фізичну величину вимірюють у герцах?

варіанти відповідей

довжину хвилі

швидкість хвилі

частоту коливань

період коливань

Запитання 3

Які рухи називають коливаннями?

варіанти відповідей

які повторюються з часом

які не повторюються з часом

які повторюються через однакові проміжки часу

які повторюються через різні проміжки часу

Запитання 4

Амплітудою коливань називають

варіанти відповідей

зміщення тіла від положення рівноваги

максимальне зміщення тіла від положення рівноваги

зміщення тіла від центру мас

максимальне зміщення тіла від центру мас

Запитання 5

Період коливань можна визначити за формулами:

варіанти відповідей
Запитання 6

Вільними називаються коливання, які відбуваються під дією ...

варіанти відповідей

зовнішніх сил

внутрішніх сил

сили тертя

сили пружності

Запитання 7

Коливання у яких фізична величина змінюється за законом синуса або косинуса називають ...

варіанти відповідей

затухаючими

власними

гармонічними

вільними

вимушеними

Запитання 8

Рухи, при здійсненні яких через рівні проміжки часу координати тіла, швидкість і прискорення періодично повторюються, називаються…


варіанти відповідей

Рухами по колу

Механічними коливаннями

Вільними коливаннями

Електричними коливаннями

Запитання 9

Серед коливань виберіть вільні:

варіанти відповідей

Рух маятника у годиннику

Рух шальок терезів

Рух гойдалки при постійному розгойдуванні

Запитання 10

Кількість коливань за одиницю часу називають


варіанти відповідей

Частотою

Періодом

Циклічною частотою

Кутовою швидкістю

Запитання 11

Чим більша частота коливань, тим їх період…


варіанти відповідей

Більше

Менше

Не залежить від частоти

Немає правильної відповіді

Запитання 12

Частоту коливань можна обчислити за формулами:

варіанти відповідей
Запитання 13

Рівняння гармонічних коливань можна записати у вигляді:

варіанти відповідей
Запитання 14

Матеріальна точка здійснює гармонічні коливання. На рисунку наведено залежність її координати від часу. Чому дорівнює амплітуда коливань?


варіанти відповідей

4 см

6 см

8 см

0,06 м

Запитання 15

Матеріальна точка здійснює гармонічні коливання вздовж осі Ох. Залежність координати цієї точки від часу має вигляд х = 0,5sin 20πt. Якою є амплітуда коливань?

варіанти відповідей

0,5

20

20π

0

Запитання 16

Матеріальна точка здійснює гармонічні коливання вздовж осі Ох. Залежність координати цієї точки від часу має вигляд х = 0,5sin 20πt. Якою є циклічна частота коливань?

варіанти відповідей

0,5

20

20π

0

Запитання 17

Матеріальна точка здійснює гармонічні коливання вздовж осі Ох. Залежність координати цієї точки від часу має вигляд х = 0,5sin 20πt. Якою є початкова фаза коливань?

варіанти відповідей

0,5

20

20π

0

Запитання 18

Явище різкого збільшення амплітуди вимушених коливань, якщо частота зовнішньої сили, що періодично змінюється, збігається з власною частотою коливань системи.

варіанти відповідей

Механічні коливання

Інтерференція

Дифракція

Резонанс

Запитання 19

За якою з наведених формул можна розрахувати період коливань тягарця на пружині?


варіанти відповідей

x=Acos(ωt+φ0)

λ=vT

T=2π√ m/k

T=2π√ m⋅k

Запитання 20

Яка одиниця вимірювання довжини хвилі?


варіанти відповідей

с

Гц 

рад/с

м

Запитання 21

За графіком, наведеним на рисунку, визначте амплітуду коливань тіла.


варіанти відповідей

10 см

20 см

–10 см  

–20 см

Запитання 22

Явище накладання хвиль, унаслідок якого в певних точках простору спостерігається стійке в часі посилення або послаблення результуючих коливань.


варіанти відповідей

Механічні коливання

Інтерференція 

Резонанс 

Дифракція

Запитання 23

Яка одиниця вимірювання циклічної частоти коливань?

варіанти відповідей

с

Гц

рад/с   

м

Запитання 24

Електромагнітна хвиля - це

варіанти відповідей

хвиля від електричного поля

поширення в просторі змінного електромагнітного поля

хвиля від магнітного поля

вірної відповіді немає

Запитання 25

Укажіть характеристики електромагнітної хвилі

варіанти відповідей

частота

маса

довжина хвилі

швидкість поширення хвилі

час існування

Запитання 26

Властивості електромагнітних хвиль:

варіанти відповідей

в однорідному середовищі поширюються рівномірно і прямолінійно

відбиваються діелектриками, а ще краще провідниками, при цьому виконуються закони відбивання хвиль

заломлюються

вірні всі відповіді

Запитання 27

Яка фізична величина зростає під час електричного резонансу?

варіанти відповідей

Напруга

Опір

Частота

Амплітуда

Період

Запитання 28

Що є необхідною умовою для виникнення електромагнітних коливань у коливальному контурі?

варіанти відповідей

Наявність тільки конденсатора. 

Наявність тільки котушки індуктивності. 

Наявність конденсатора та котушки індуктивності. 

Наявність джерела постійного струму.

Запитання 29

За якою формулою визначається період власних електромагнітних коливань у коливальному контурі (формула Томсона)?

варіанти відповідей

T = 2π√(LC) 

T = √(LC)/2π 

T = 2πL/C 

T = 2πC/L

Запитання 30

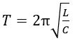
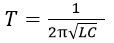
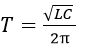
За якою з наведених формул можна розрахувати період власних електромагнітних коливань у коливальному контурі?  

варіанти відповідей
Запитання 31

Заряд на пластинах конденсатора ідеального коливального контуру

змінюється за законом q = 10−7 cos(4π∙106 t). Чому дорівнює циклічна частота коливань?

 

варіанти відповідей

 10−7 1/с


 4π 1/с

 

 4π∙106 1/с



 2π∙1031/с

Запитання 32

Чому дорівнює частота коливань коливального контуру, якщо період коливань дорівнює 20 мкс?


варіанти відповідей

20 кГц


40 кГц

 

50 кГц


100 кГц

Запитання 33

Період вільних коливань у контурі дорівнює 40 мкс. Якщо ємність конденсатора контуру зменшити від 0,2 мкФ до 0,05 мкФ, то період коливань дорівнюватиме:


варіанти відповідей

10 мкс


20 мкс


80 мкс


не зміниться

Запитання 34

Заряд на пластинах конденсатора ідеального коливального контуру

змінюється за законом q = 10−7 cos(4π∙106 t). Чому дорівнює період коливань?


варіанти відповідей

10−7 с

 

10−6 с


0,5 ∙ 10−7 с


0,5 ∙10−6 с

Запитання 35

Заряд на пластинах конденсатора ідеального коливального контуру

змінюється за законом q = 10−7 cos(4π∙106 t). Чому дорівнює циклічна частота коливань?


варіанти відповідей

10−7 1/с


4π∙106 1/с


 4π 1/с


2π∙1031/с

Запитання 36

Частота коливань дорівнює 2 Гц. Визначте циклічну частоту коливань


варіанти відповідей

12,56 рад/с


0,5 рад/с


2 рад/с


0,56рад/с

Запитання 37

На рисунку наведений графік гармонічного коливання. Знайдіть амплітуду, частоту й період коливання відповідно. Серед поданих варіантів оберіть правильний.



варіанти відповідей

308В, 50 Гц, 0,02 с


 0,01В, 308 Гц, 0,02 с


308В,50 Гц, 0,01 с

 

0,02В, 50 Гц, 308 с

Створюйте онлайн-тести
для контролю знань і залучення учнів
до активної роботи у класі та вдома

Створити тест