Повторення. Функції. Область визначення функції.

Додано: 24 квітня 2025
Предмет: Алгебра, 9 клас
8 запитань
Запитання 1

Функцію задано формулою у=3х-2. Знайдіть f(-3)

 


варіанти відповідей

7

  11

-7

 -11

Запитання 2

Укажіть область визначення функції у=8-3х 


 

 

варіанти відповідей

(-∞;+∞)

(-3;+∞)

 (-∞;8)

 (3;+∞)

Запитання 3

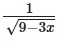
Укажіть область визначення функції:


варіанти відповідей

(-2;10)

 (-∞;5)⋃(5;+∞)

(-∞;+∞)

 (-∞;5)

 

Запитання 4

Функцію задано : f(x) = x2 + 5x - 8. Знайти f( 3).



варіанти відповідей

 23

10

  16

 6

Запитання 5

Знайдіть область визначення функції:

варіанти відповідей

  [−∞;−2]

 (−2;+∞)

  [−2;+∞)

 (−∞;−2)

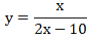
Запитання 6

Укажіть область визначення функції: 


варіанти відповідей

  (−∞; +∞) 

  (0; +∞)

  [−∞; 3]

 (−∞; 3)

 

Запитання 7

Область визначення функції- усі значення, яких набуває


 

варіанти відповідей

 залежна змінна

  відповідна змінна

  незалежна змінна

 функція

Запитання 8

Область значень функції - усі значення, яких набуває


варіанти відповідей

  відповідна змінна

аргумент

  залежна змінна

 незалежна змінна

Створюйте онлайн-тести
для контролю знань і залучення учнів
до активної роботи у класі та вдома

Створити тест