10 клас. Границя функції в точці

Додано: 6 березня
Предмет: Алгебра, 10 клас
15 запитань
Запитання 1

-

варіанти відповідей

− 1

2

1

не існує границі

Запитання 2

_

варіанти відповідей

так

ні

визначити неможливо

Запитання 3

_

варіанти відповідей

так

ні

визначити неможливо

Запитання 4

-

варіанти відповідей

− 7

7

6

визначити неможливо

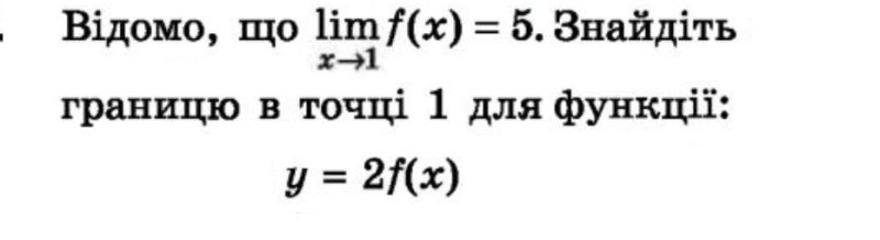
Запитання 5

-

варіанти відповідей

5

− 5

0

визначити неможливо

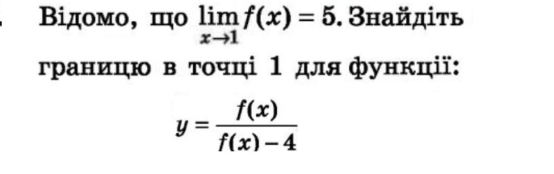
Запитання 6

-

варіанти відповідей

4

− 4

2

− 2

0

визначити неможливо

Запитання 7

-

варіанти відповідей

− 3

− 2

5

15

визначити неможливо

Запитання 8

-

варіанти відповідей

5

2

10

визначити неможливо

Запитання 9

-

варіанти відповідей

5

4

1,25

13

визначити неможливо

Запитання 10

-

варіанти відповідей

0

1

− 1

визначити неможливо

Запитання 11

-

варіанти відповідей

12

√32

√22

визначити неможливо

Запитання 12

-

варіанти відповідей

16

12

0

обчислити неможливо

Запитання 13

-

варіанти відповідей

16

19

13

0

обчислити неможливо

Запитання 14

-

варіанти відповідей

2

3

6

0

обчислити неможливо

Запитання 15

-

варіанти відповідей

неперервною

збіжною

скінченною

розбіжною

Створюйте онлайн-тести
для контролю знань і залучення учнів
до активної роботи у класі та вдома

Створити тест